首页 > 医疗资讯/ 正文
全球范围内,烟草使用仍是导致过早死亡和疾病的主要可预防因素。世界卫生组织《烟草控制框架公约》(FCTC)于2005年生效,澳大利亚作为首批批准国之一,推行了全面的控烟政策,成功显著降低了青少年吸烟率。数据显示,1999年约35%的16至17岁澳大利亚学生报告了近月吸烟行为,到2022-2023年,这一比例降至5%。然而,近年来电子烟的流行迅速上升,2022-2023年数据显示,22%的同龄学生报告使用电子烟,成为新的公共卫生挑战。电子烟最初作为戒烟辅助工具开发,但其在从未吸烟的青少年中迅速普及,暴露于尼古丁及其他有害物质,可能影响大脑发育及认知功能,并导致依赖症。

本研究首次在澳大利亚监管环境下,通过9波年度纵向数据,系统描绘了青少年从12岁到21岁期间电子烟和香烟消费的自然轨迹。研究发现电子烟使用率快速攀升,且存在频繁及持续使用的趋势,部分青少年表现出使用频率的明显增加。香烟使用虽不及电子烟普遍,但亦呈现持续使用现象。双重使用(电子烟与香烟同时使用)较为常见,且两者之间存在促进关系。结果强调了制定严格法规和公共卫生干预的紧迫性,以减少青少年对所有烟草及尼古丁产品的接触和依赖。
本研究采用儿童到成人转变研究(Child to Adult Transition Study, CATS)数据,该队列于2012年招募了1239名9岁儿童,主要来自墨尔本地区的政府、公立及独立学校。参与者自9岁起每年接受一次调查,平均年龄21岁。研究采集了自12岁起的电子烟和香烟使用数据,包括使用频率(每日、每周至少4天、每月至少1天)及首次使用年龄。采用多重插补法处理缺失数据,应用灵活参数生存模型估算累计发病率及发病率。
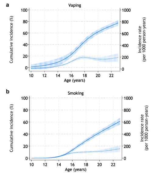
结果显示,电子烟任何频率的使用率从12岁时1%上升至20岁时峰值46.9%,21岁时略降至40.4%。每日电子烟使用者比例在21岁时达到17.2%。香烟的任何频率使用率在20岁时达到32.9%,每日使用者约5.3%。双重使用率也在20岁达到27.8%。累计发病率显示至21岁时,约75.8%的青少年曾尝试电子烟,60.2%尝试香烟。

图:青少年时期电子烟使用(过去12个月)、吸烟(过去12个月)以及同时使用电子烟和吸烟(过去12个月)的流行情况
近一半的电子烟用户及三分之一的香烟用户表现出连续两次或以上的使用频率。约17.3%的青少年电子烟使用者在连续多次调查中每周至少使用4天,有13.8%每日使用。吸烟的持续高频使用率明显较低。双重使用者中,40.1%首次尝试电子烟,23.9%先尝试香烟,35.9%两者同频率首次使用。

图:(a) 电子烟使用(任意频率)和 (b) 吸烟(任意频率)的累积发病率(实线)和发病率(虚线)及其95%置信区间(阴影区域)
综上,本研究全面揭示了澳大利亚青少年电子烟及香烟使用的长期轨迹,显示电子烟普及率迅速上升且使用持续频繁,可能导致广泛的尼古丁依赖。香烟使用尽管总体较低,但仍存在持续使用的群体。双重使用普遍,提示两种产品间存在互促作用。研究结果反映了针对青少年的市场营销效果及控烟法规执行不力的问题。2024年澳大利亚出台的新规限制了电子烟销售,初步数据显示电子烟使用率可能达到顶峰并呈现稳定趋势。研究还指出,电子烟对青少年心理、呼吸系统健康及学业等方面存在潜在负面影响。
原始出处
Susan M. Sawyer,a,b,∗ Louise Canterford,a Elizabeth Greenhalgh,c Susan Ellul,a,e Nandita Vijayakumar,a,b,d Michelle Scollo,c and S. Ghazaleh Dashti.Tracking the course of vaping and cigarette smoking across adolescence: the Child to Adult Transition Study.The Lancet Regional Health - Western Pacific 2025;64:101719https://doi.org/10.1016/j.lanwpc.2025.101719
本文相关学术信息由梅斯医学提供,基于自主研发的人工智能学术机器人完成翻译后邀请临床医师进行再次校对。如有内容上的不准确请留言给我们。
- 搜索
-
- 1000℃李寰:先心病肺动脉高压能根治吗?
- 1000℃除了吃药,骨质疏松还能如何治疗?
- 1000℃抱孩子谁不会呢?保护脊柱的抱孩子姿势了解一下
- 1000℃妇科检查有哪些项目?
- 1000℃妇科检查前应做哪些准备?
- 1000℃女性莫名烦躁—不好惹的黄体期
- 1000℃会影响患者智力的癫痫病
- 1000℃治女性盆腔炎的费用是多少?
- 标签列表
-
- 星座 (702)
- 孩子 (526)
- 恋爱 (505)
- 婴儿车 (390)
- 宝宝 (328)
- 狮子座 (313)
- 金牛座 (313)
- 摩羯座 (302)
- 白羊座 (301)
- 天蝎座 (294)
- 巨蟹座 (289)
- 双子座 (289)
- 处女座 (285)
- 天秤座 (276)
- 双鱼座 (268)
- 婴儿 (265)
- 水瓶座 (260)
- 射手座 (239)
- 不完美妈妈 (173)
- 跳槽那些事儿 (168)
- baby (140)
- 女婴 (132)
- 生肖 (129)
- 女儿 (129)
- 民警 (127)
- 狮子 (105)
- NBA (101)
- 家长 (97)
- 怀孕 (95)
- 儿童 (93)
- 交警 (89)
- 孕妇 (77)
- 儿子 (75)
- Angelababy (74)
- 父母 (74)
- 幼儿园 (73)
- 医院 (69)
- 童车 (66)
- 女子 (60)
- 郑州 (58)