首页 > 医疗资讯/ 正文
直肠癌作为发达国家的重要公共卫生问题,发病率和死亡率存在地域及性别差异。大部分患者确诊时已处于III期或IV期的局部晚期阶段,治疗通常采用新辅助放化疗结合手术的多模式治疗策略。近年来,营养状态被认为是影响肿瘤患者治疗耐受性和预后的关键因素。肌少症作为一种新兴的体成分异常,已被证实与结直肠癌患者的生存率密切相关,但在局部晚期直肠癌患者中的影响尚未充分明确,尤其是在白种人群体中数据有限。 此外,营养不良与放化疗相关不良事件以及治疗完成率存在关联,合理的营养评估与干预被认为是改善患者预后不可或缺的环节。鉴于CT扫描为肿瘤常规检查手段,基于CT的体成分评估为研究营养状态提供了客观、非侵入性的技术手段。

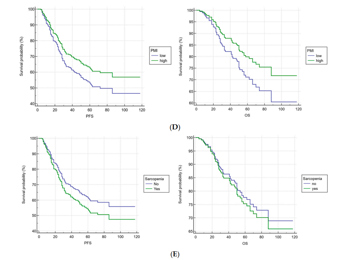
本研究为回顾性观察性研究,针对216例接受新辅助放化疗(CRT)的局部晚期直肠癌(LARC)患者,利用计算机断层扫描(CT)详细评估了体成分参数,包括肌肉量和脂肪组织分布,并分析其与无进展生存期(PFS)及总体生存率(OS)的关联。结果显示,低内脏脂肪指数(VATI)和皮下脂肪指数(SATI)与较差的总体生存率显著相关,而肌肉指标(骨骼肌指数SMI、腰大肌指数PMI)及肌少症状况与生存无显著关联。此外,生活方式调查表明患者随着随访时间延长及年龄增长,非健康饮食指数(nHDI-14)呈下降趋势,反映患者饮食习惯改善的可能。该研究强调了利用常规CT影像进行体成分分析的重要性,有助于精准识别高风险患者,指导个体化营养支持及综合治疗方案制定。
研究人员纳入2016年至2022年间在波兰大波兰癌症中心接受新辅助CRT的局部晚期直肠癌患者。纳入标准包括临床分期cT4、淋巴结阳性(cN1及以上)及肿瘤邻近肠系膜筋膜等高危因素。两种放化疗方案被应用:一是长程同步放化疗(lcCRT),每日放疗剂量1.8-2.0Gy,总剂量50.4-55.8Gy,联合5-FU/亚叶酸钙或卡培他滨化疗;二是总新辅助放化疗(tnCRT),先短程放疗(5×5Gy),随后序贯CAPOX或FOLFOX化疗,术后约6.5周行手术切除。 CT扫描采用GE Optima CT660或Siemens Somatom Definition AS设备,使用非增强扫描图像,选取腰椎第3节横突处单层影像,通过专业软件进行肌肉及脂肪面积测量,计算骨骼肌指数(SMI)、腰大肌指数(PMI)、皮下脂肪指数(SATI)及内脏脂肪指数(VATI)。肌少症定义基于性别特异的SMI截断值。患者饮食习惯通过KomPAN问卷调查,计算非健康饮食指数nHDI-14。 统计分析采用Kaplan–Meier生存曲线与Cox比例风险模型,调整年龄、性别、BMI、放疗剂量及治疗方案,评估体成分参数与生存的相关性。
结果显示,收纳的患者男性占60%,平均年龄61.2岁,超过60%患者为超重或肥胖。中位随访58个月,90例疾病进展,53例死亡。低VATI与OS显著相关(HR=0.46,95%CI 0.22-0.97,p=0.042),低SATI与OS显著相关(HR=0.47,95%CI 0.23-0.97,p=0.041),即脂肪指数较低的患者生存率较差。SMI和PMI与PFS及OS无统计学显著相关。

图:LARC患者接受新辅助放化疗后的生存率Kaplan-Meier曲线图
肌少症的发生与PFS或OS无显著关联。饮食调查显示男性饮酒频率高于女性,nHDI-14总体较低,且随观察时间延长和年龄增长呈下降趋势,提示患者饮食健康意识增强。

图:(A)nHDI与观察时间之间的关系(p<0.05);(B)nHDI与年龄之间的关系(p<0.05)
总之,该研究首次在较大规模的欧洲局部晚期直肠癌患者队列中,利用CT精准评估体成分,证实脂肪组织指标(尤其是内脏及皮下脂肪)对患者总体生存率的显著影响,强调仅凭BMI难以准确反映患者营养状态。CT作为肿瘤诊疗过程中的常规检测手段,其体成分分析应被整合进临床管理,辅助早期识别高风险患者,针对性开展营养支持与治疗调整。多项研究也指出,营养不良及脂肪组织的动态变化与治疗耐受性、并发症风险及术后恢复密切相关。脂肪组织减少或异常分布可能反映患者机体应激水平及免疫状态,影响肿瘤微环境和治疗反应。
此外,肌少症虽未在本研究中显示显著生存影响,但其与多种肿瘤患者预后关联已被广泛报道,提示未来需结合更细致的肌肉质量及功能指标深入探讨。 饮食行为的改善反映患者健康教育的成效,对肿瘤治疗及预后同样具有积极意义。未来研究应考虑采用人工智能辅助的自动化CT体成分分析工具,提高评估效率和准确性,实现个体化精准营养干预。
原始出处
Kolenda, P.; Mardas, M.; Radomyski, P.; Trojanowski, M.; Litwiniuk, M.; Warchoł, W.; Stelmach-Mardas, M. Body Composition and Survival in Locally Advanced Rectal Cancer Patients Treated with Neoadjuvant Radiochemotherapy. Nutrients 2025, 17, 3309. https://doi.org/10.3390/nu17203309
本文相关学术信息由梅斯医学提供,基于自主研发的人工智能学术机器人完成翻译后邀请临床医师进行再次校对。如有内容上的不准确请留言给我们。
- 搜索
-
- 1000℃李寰:先心病肺动脉高压能根治吗?
- 1000℃除了吃药,骨质疏松还能如何治疗?
- 1000℃抱孩子谁不会呢?保护脊柱的抱孩子姿势了解一下
- 1000℃妇科检查有哪些项目?
- 1000℃妇科检查前应做哪些准备?
- 1000℃女性莫名烦躁—不好惹的黄体期
- 1000℃会影响患者智力的癫痫病
- 1000℃治女性盆腔炎的费用是多少?
- 标签列表
-
- 星座 (702)
- 孩子 (526)
- 恋爱 (505)
- 婴儿车 (390)
- 宝宝 (328)
- 狮子座 (313)
- 金牛座 (313)
- 摩羯座 (302)
- 白羊座 (301)
- 天蝎座 (294)
- 巨蟹座 (289)
- 双子座 (289)
- 处女座 (285)
- 天秤座 (276)
- 双鱼座 (268)
- 婴儿 (265)
- 水瓶座 (260)
- 射手座 (239)
- 不完美妈妈 (173)
- 跳槽那些事儿 (168)
- baby (140)
- 女婴 (132)
- 生肖 (129)
- 女儿 (129)
- 民警 (127)
- 狮子 (105)
- NBA (101)
- 家长 (97)
- 怀孕 (95)
- 儿童 (93)
- 交警 (89)
- 孕妇 (77)
- 儿子 (75)
- Angelababy (74)
- 父母 (74)
- 幼儿园 (73)
- 医院 (69)
- 童车 (66)
- 女子 (60)
- 郑州 (58)