首页 > 医疗资讯/ 正文
超长距离耐力赛事,如超马,因其极端运动强度和环境压力,运动员常遭受运动相关胃肠症状(Ex-GIS),如恶心、腹胀、腹泻等,严重影响比赛表现和健康。运动诱发的胃肠综合征(EIGS)机制复杂,包括运动时内脏血流减少导致肠道屏障功能损伤,以及交感神经兴奋引起肠道蠕动减缓等。肠道菌群作为维持肠道屏障和免疫调节的重要因素,其在EIGS及Ex-GIS中的作用尚未明确。既往研究主要聚焦于慢性运动对菌群的影响,急性极限运动对肠道菌群的即时调控及其与胃肠症状的关系研究较少。

本研究纳入13名年龄平均41岁的耐力运动员(7男6女),完成2022年澳大利亚玛格丽特河80公里超马赛事。采集赛事前后运动员的粪便样本,利用16S rRNA V3-V4区域扩增和Illumina MiSeq测序,分析肠道菌群结构及多样性(Shannon均匀指数,SEI)。对相对丰度≥0.5%的菌群进行统计学分析,采用Wilcoxon符号秩检验比较赛前后变化。运动相关胃肠症状通过运动特异性、验证过的视觉模拟量表(mVAS)进行评估,并利用Spearman秩相关分析菌群变化与症状的关联。

图:实验设计、样本处理及分析流程的示意图
结果发现,超马赛事前后肠道菌群的整体多样性(SEI值)无显著变化,说明短期极限运动未引起菌群整体结构重组。但部分菌群相对丰度发生显著变化:Actinobacteriota门、Bifidobacteriaceae和Clostridiaceae科及Blautia和Subdoligranulum属显著减少;Oscillospiraceae和Monoglobaceae科显著增加。

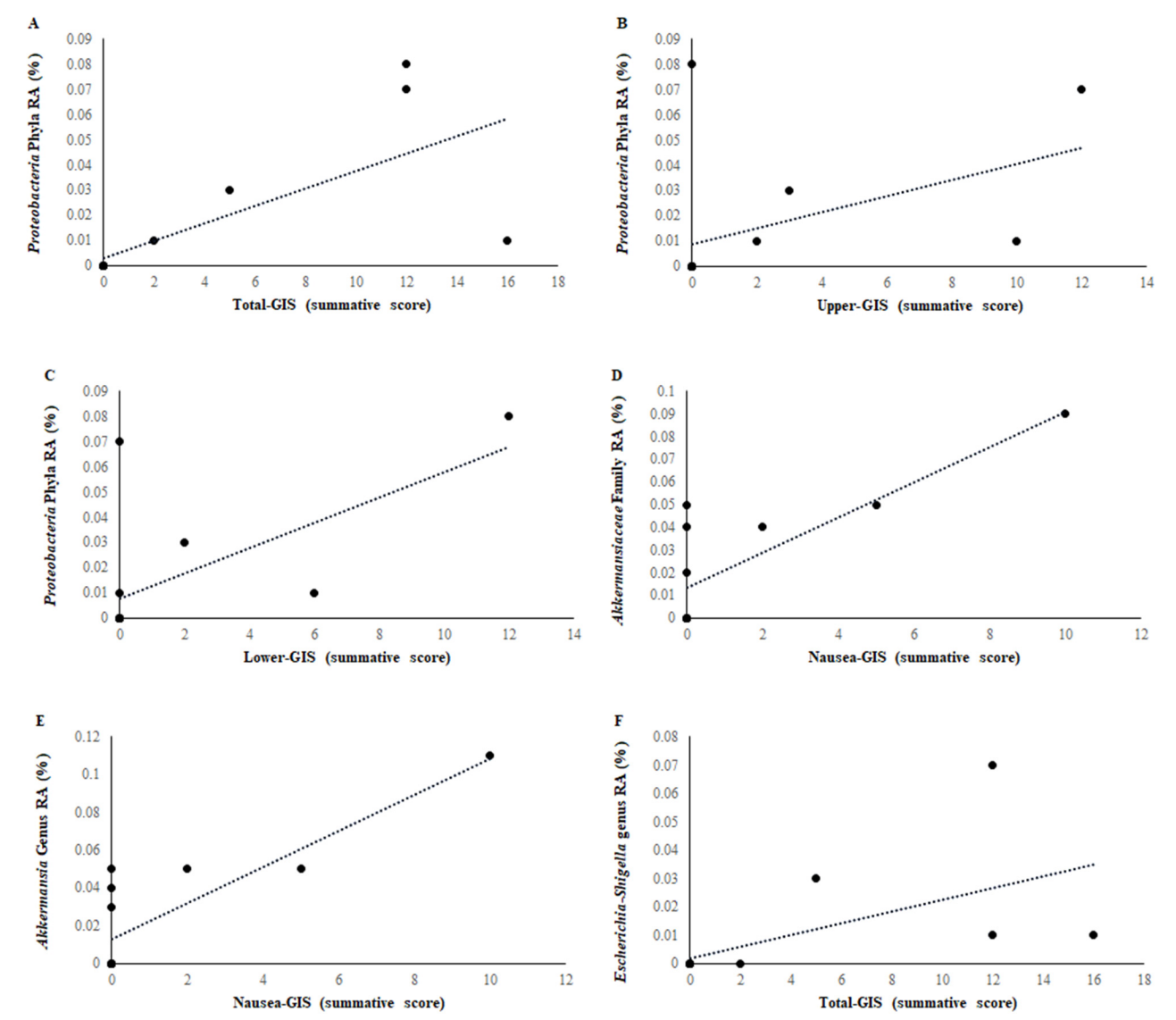
图:马拉松赛后细菌相对丰度(RA%)与运动后Ex-GIS的相关性
所有参与者均报告了不同程度的Ex-GIS,症状多为轻度,最常见的上消化道症状为打嗝,下消化道症状为排气。某些菌群丰度与Ex-GIS表现出强烈相关性,例如Proteobacteria门与总症状评分呈极强正相关,Akkermansiaceae科及Akkermansia属与恶心相关症状呈强正相关,Escherichia-Shigella属与总症状呈正相关;Firmicutes门及部分菌群与胃肠症状呈负相关。但对筛选出在赛事中显著变化且丰度≥0.5%的菌群,未发现其与Ex-GIS的显著相关性,提示菌群的即时波动可能非Ex-GIS主要驱动因素。
总之,完成80公里超长距离马拉松后,运动员肠道菌群整体多样性保持稳定,但特定菌群的相对丰度发生显著变化。部分菌群丰度与运动相关胃肠症状呈现强烈相关,但即时菌群变化并非Ex-GIS的直接决定因素,提示肠道菌群在耐力运动胃肠症状发生中的作用更为复杂。研究结果强调了个体化管理运动员肠道健康和胃肠症状的重要性,并为后续机制研究奠定基础。
原始出处
Henningsen, K.; Gaskell, S.K.; Young, P.; Mika, A.; Henry, R.; Costa, R.J.S. The Impact of Ultra-Marathon Running on the Gut Microbiota as Determined by Faecal Bacterial Profiling, and Its Relationship with Exercise-Associated Gastrointestinal Symptoms: An Exploratory Investigation. Nutrients 2025, 17, 3275. https://doi.org/10.3390/nu17203275
本文相关学术信息由梅斯医学提供,基于自主研发的人工智能学术机器人完成翻译后邀请临床医师进行再次校对。如有内容上的不准确请留言给我们。
猜你喜欢
- 春季婴儿湿疹高发,有何妙招能缓解
- NEJM:陆舜教授牵头的奥希替尼治疗非小细胞肺癌根治性放化疗后靶向治疗试验结果发表,能降低84%PFS风险(LAURA研究)
- 哈尔滨医科大学附属第一医院内置洁牙机等磋商公告
- 信任感动:河南同道的公公查出肺癌,不远千里来杭州市一医院找我们团队手术!
- 国家卫健委:24日新增新冠肺炎确诊病例32例其中本土病例5例
- 巴基斯坦女子公园遭400名男性骚扰 衣服被扯破并将女子抛在空中
- 我国卫生人才总数达1230万医护比倒置问题得到根本性扭转
- 神经衰弱的表现有哪些如何改善神经衰弱情况
- JAMA:中国医学科学院陈亮团队揭示了低密度脂蛋白胆固醇与心血管疾病风险及死亡率之间的关联!
- Nature:破解基因组稳定之谜:卫星DNA如何成为染色体分裂的关键?
- 搜索
-
- 1000℃李寰:先心病肺动脉高压能根治吗?
- 1000℃除了吃药,骨质疏松还能如何治疗?
- 1000℃抱孩子谁不会呢?保护脊柱的抱孩子姿势了解一下
- 1000℃妇科检查有哪些项目?
- 1000℃妇科检查前应做哪些准备?
- 1000℃女性莫名烦躁—不好惹的黄体期
- 1000℃会影响患者智力的癫痫病
- 1000℃治女性盆腔炎的费用是多少?
- 标签列表
-
- 星座 (702)
- 孩子 (526)
- 恋爱 (505)
- 婴儿车 (390)
- 宝宝 (328)
- 狮子座 (313)
- 金牛座 (313)
- 摩羯座 (302)
- 白羊座 (301)
- 天蝎座 (294)
- 巨蟹座 (289)
- 双子座 (289)
- 处女座 (285)
- 天秤座 (276)
- 双鱼座 (268)
- 婴儿 (265)
- 水瓶座 (260)
- 射手座 (239)
- 不完美妈妈 (173)
- 跳槽那些事儿 (168)
- baby (140)
- 女婴 (132)
- 生肖 (129)
- 女儿 (129)
- 民警 (127)
- 狮子 (105)
- NBA (101)
- 家长 (97)
- 怀孕 (95)
- 儿童 (93)
- 交警 (89)
- 孕妇 (77)
- 儿子 (75)
- Angelababy (74)
- 父母 (74)
- 幼儿园 (73)
- 医院 (69)
- 童车 (66)
- 女子 (60)
- 郑州 (58)