首页 > 医疗资讯/ 正文
随着全球人口老龄化进程加速,阿尔茨海默病及其他认知功能障碍疾病已成为日益严峻的公共卫生问题。据估计,全球痴呆症患者人数将从2019年的5740万增至2050年的1.528亿。中国作为人口大国,2021年约有1699万痴呆患者,早期识别认知功能障碍并采取干预措施,成为延缓疾病进展的关键。近年来,膳食因素在认知健康中的作用备受关注,尤其是膳食的抗氧化与炎症潜力。本研究基于2018年中国健康与营养调查(CHNS)数据,探讨了复合膳食抗氧化指数(CDAI)、膳食炎症指数(DII)与中老年人认知功能障碍之间的关联,并进一步考察了代谢指标TyG-BMI在其中的中介作用。
本研究为横断面设计,共纳入6019名55岁及以上参与者,其中认知功能正常者5207人,认知功能障碍者812人(患病率为13.5%)。认知功能评估采用中文版简易智力状态检查(MMSE),并根据教育水平设定不同截断值。膳食数据通过连续3天24小时回顾法收集,并结合家庭食物称重记录进行计算。CDAI基于硒、锌、维生素A、C、E和类胡萝卜素的摄入量计算,反映膳食整体抗氧化能力;DII则基于23种膳食成分(如脂肪酸、维生素、矿物质等)计算,评估膳食的炎症潜力。TyG-BMI作为代谢功能指标,计算公式为:Ln[甘油三酯(mg/dL)×空腹血糖(mg/dL)/2] × BMI。
统计分析采用多模型二元逻辑回归,评估CDAI和DII与认知功能障碍的关联,并探讨其联合效应。通过限制性立方样条(RCS)分析剂量-反应关系,并使用Hayes的PROCESS插件进行中介效应分析。
CDAI与DII的独立效应
在完全调整模型(Model 3)中,CDAI第四分位数(最高抗氧化水平)与第一分位数相比,认知功能障碍风险显著降低(OR = 0.68, 95%CI: 0.499–0.928)。相反,DII第四分位数(最高促炎水平)与第一分位数相比,认知障碍风险显著升高(OR = 1.289, 95%CI: 1.030–1.613)。

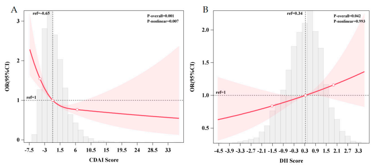
图:CDAI、DII与认知障碍患病率之间的剂量-反应关系
CDAI与DII的联合效应
将CDAI和DII以0为界分为高/低两组后进行组合分析,发现“低DII + 高CDAI”组相较于“高DII + 低CDAI”组,认知障碍风险显著降低(OR = 0.787, 95%CI: 0.622–0.995)。这表明高抗氧化饮食可部分抵消高炎症饮食对认知的不利影响。
剂量-反应关系
RCS分析显示,CDAI与认知功能障碍之间存在“L”型非线性关系(p-overall = 0.001, p-nonlinear = 0.007),拐点位于CDAI = -0.65。低于该值时认知风险上升,高于该值则风险趋于平稳下降。DII与认知障碍之间未发现显著非线性关系。

图:中国成年人群中CDAI、DII与认知障碍之间简单中介模型示意图
TyG-BMI的中介效应分析
中介模型显示,TyG-BMI在CDAI–认知障碍路径(间接效应系数 = -0.002, p > 0.05)和DII–认知障碍路径(间接效应系数 = 0.001, p > 0.05)中均未发挥显著中介作用。说明CDAI和DII对认知功能的影响可能不依赖于TyG-BMI所代表的代谢通路。
总之,本研究结果与多数国际研究一致,高CDAI饮食(富含多种天然抗氧化成分)与较低的认知障碍风险相关,而高DII饮食(富含促炎成分)则增加认知障碍风险。CDAI的“L”型剂量-反应关系提示,达到一定阈值后,继续增加抗氧化摄入对认知的保护效应可能趋于饱和。
TyG-BMI未显示中介作用,可能表明膳食对认知的影响主要通过其他机制实现。现有证据指出,促炎饮食可升高循环中IL-6、TNF-α、hs-CRP等炎症因子,这些因子透过血脑屏障诱发神经炎症,损害神经元与突触功能。而抗氧化成分(如维生素C、E、多酚等)可直接清除自由基,减轻氧化应激对神经元的损伤,并通过调节肠道菌群、抑制NF-κB通路等间接发挥抗炎作用。
原始出处
Huang, L.; Wang, Z.; Yan, S.; Wang, Q.; Wang, L.; Ye, R.; Ding, G.; Xu, G. Associations of Composite Dietary Antioxidant Index and Dietary Inflammation Index with Cognitive Dysfunction in Older Chinese Adults: Results from China Health and Nutrition Survey in 2018. Nutrients 2025, 17, 3412. https://doi.org/10.3390/nu17213412
本文相关学术信息由梅斯医学提供,基于自主研发的人工智能学术机器人完成翻译后邀请临床医师进行再次校对。如有内容上的不准确请留言给我们。
猜你喜欢
- 八爪鱼怎么做好吃?八爪鱼的做法大全家常
- 儿科门诊“生长贴”成“长高神器”?专家:科学干预才是关键
- 女生瘦腿的最快方法是什么?刮痧瘦腿效果更显著
- 读书报告 | SCLC患者免疫治疗的临床获益与肿瘤抗原递呈能力相关
- 得了近视眼怎么办?
- CMI 山东大学齐鲁医院陈玉国/庞佼佼教授团队揭示ALDH2 rs671基因突变是脓毒症ARDS个体化防治靶点并深入阐明机制
- 蔬菜煎蛋的做法-咸鲜味煎菜谱
- Front Immunol:粪便免疫化学检测、M3基因、KRAS突变和肿瘤甲基化负荷单独或联合在结直肠癌中的诊断准确性评估
- OCC-WCC 2024丨《腺苷注射液在心血管疾病诊疗中的临床应用中国专家共识》发布,开启心血管疾病诊疗新纪元
- 想健康一辈子离不开八种好食物
- 搜索
-
- 1000℃李寰:先心病肺动脉高压能根治吗?
- 1000℃除了吃药,骨质疏松还能如何治疗?
- 1000℃抱孩子谁不会呢?保护脊柱的抱孩子姿势了解一下
- 1000℃妇科检查有哪些项目?
- 1000℃妇科检查前应做哪些准备?
- 1000℃女性莫名烦躁—不好惹的黄体期
- 1000℃会影响患者智力的癫痫病
- 1000℃治女性盆腔炎的费用是多少?
- 标签列表
-
- 星座 (702)
- 孩子 (526)
- 恋爱 (505)
- 婴儿车 (390)
- 宝宝 (328)
- 狮子座 (313)
- 金牛座 (313)
- 摩羯座 (302)
- 白羊座 (301)
- 天蝎座 (294)
- 巨蟹座 (289)
- 双子座 (289)
- 处女座 (285)
- 天秤座 (276)
- 双鱼座 (268)
- 婴儿 (265)
- 水瓶座 (260)
- 射手座 (239)
- 不完美妈妈 (173)
- 跳槽那些事儿 (168)
- baby (140)
- 女婴 (132)
- 生肖 (129)
- 女儿 (129)
- 民警 (127)
- 狮子 (105)
- NBA (101)
- 家长 (97)
- 怀孕 (95)
- 儿童 (93)
- 交警 (89)
- 孕妇 (77)
- 儿子 (75)
- Angelababy (74)
- 父母 (74)
- 幼儿园 (73)
- 医院 (69)
- 童车 (66)
- 女子 (60)
- 郑州 (58)
