首页 > 医疗资讯/ 正文
在全球范围内,疟疾仍然是威胁公共卫生的主要传染病之一。2023年,全球约有59.7万人死于疟疾,感染人数高达2.63亿。尽管世界卫生组织已批准两种疟疾疫苗——RTS,S/AS01E和R21/Matrix-M,但它们主要针对疟原虫的肝期(pre-erythrocytic stage),保护效果有限且随时间递减。因此,研发能够靶向血液阶段的下一代疫苗,成为当前疟疾防控的关键方向。
近日,《柳叶刀》子刊发表了一项具有里程碑意义的Ib期临床试验结果,首次在疟疾流行区成人中评估了基于全长裂殖子表面蛋白1(MSP1FL) 的疟疾疫苗SUM-101的安全性、反应原性与免疫原性。该疫苗由来自3D7株的PfMSP1全长蛋白与TLR4激动剂佐剂GLA-SE组成,旨在通过诱导多功能的抗体反应,增强对血液阶段疟原虫的清除能力。

研究设计与实施
这项随机、双盲、对照的Ib期临床试验于2023年8月至2024年4月在坦桑尼亚巴加莫耶进行,共纳入40名18–45岁的健康成人,按1:1比例随机分组,分别接受三剂SUM-101疫苗或Verorab狂犬病疫苗(对照组),接种时间点为第0、28和56天。
研究团队设立了严格的安全性监测机制,包括哨兵组先行接种、独立安全委员会审查等,确保受试者安全。结果显示,SUM-101组与对照组的不良事件发生率相当,且绝大多数为轻度至中度,主要表现为注射部位疼痛、头痛和疲劳,无严重不良事件报告。实验室检查也未发现与疫苗相关的临床异常。

图:试验流程图
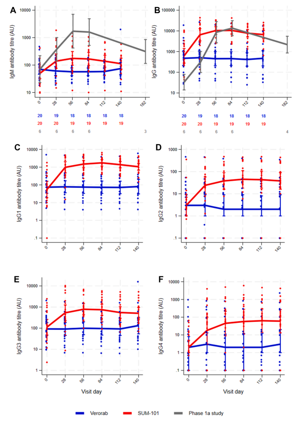
免疫反应:持久且多功能
SUM-101疫苗在疟疾既往暴露的成人中诱导了强烈而持久的IgM与IgG抗体反应。IgG抗体在第84天(即第三剂后一个月)达到峰值,中位数增幅达20.77倍,且在随访结束的第140天仍维持在较高水平(中位数增幅10.77倍)。值得注意的是,所有四种IgG亚类(IgG1–IgG4)均有所上升,提示疫苗能激活广泛的B细胞反应。
更令人鼓舞的是,这些抗体不仅结合力强,还表现出多种Fc受体介导的效应功能,包括补体激活(C1q、C3b、C5–C9)、中性粒细胞呼吸爆发、吞噬作用、自然杀伤细胞活化等。这些功能在第三剂后一个月达到高峰,且在不同个体间表现出一定的广度差异。
交叉保护与免疫记忆
研究还发现,SUM-101诱导的抗体对不同疟原虫株(3D7与FCB1) 的裂殖子均具有结合与功能活性,说明其具备跨株保护潜力。此外,基线MSP1特异性IgG水平较高的参与者,在接种两剂后即达到抗体峰值,表明SUM-101能有效“唤醒”并增强既往感染所形成的免疫记忆。

- 搜索
-
- 1000℃李寰:先心病肺动脉高压能根治吗?
- 1000℃除了吃药,骨质疏松还能如何治疗?
- 1000℃抱孩子谁不会呢?保护脊柱的抱孩子姿势了解一下
- 1000℃妇科检查有哪些项目?
- 1000℃妇科检查前应做哪些准备?
- 1000℃女性莫名烦躁—不好惹的黄体期
- 1000℃会影响患者智力的癫痫病
- 1000℃治女性盆腔炎的费用是多少?
- 标签列表
-
- 星座 (702)
- 孩子 (526)
- 恋爱 (505)
- 婴儿车 (390)
- 宝宝 (328)
- 狮子座 (313)
- 金牛座 (313)
- 摩羯座 (302)
- 白羊座 (301)
- 天蝎座 (294)
- 巨蟹座 (289)
- 双子座 (289)
- 处女座 (285)
- 天秤座 (276)
- 双鱼座 (268)
- 婴儿 (265)
- 水瓶座 (260)
- 射手座 (239)
- 不完美妈妈 (173)
- 跳槽那些事儿 (168)
- baby (140)
- 女婴 (132)
- 生肖 (129)
- 女儿 (129)
- 民警 (127)
- 狮子 (105)
- NBA (101)
- 家长 (97)
- 怀孕 (95)
- 儿童 (93)
- 交警 (89)
- 孕妇 (77)
- 儿子 (75)
- Angelababy (74)
- 父母 (74)
- 幼儿园 (73)
- 医院 (69)
- 童车 (66)
- 女子 (60)
- 郑州 (58)