首页 > 医疗资讯/ 正文
多发性硬化症(MS)是一种中枢神经系统的慢性自身免疫性炎症性疾病,全球影响超280万人,英国约15万人。MS临床表现多样,认知障碍是常见且影响显著的症状之一,涉及信息处理、记忆、执行功能等多个认知领域。认知受损不仅降低患者生活质量,还影响工作和社交能力。虽然新型疾病修饰疗法对认知障碍的缓解有限,非药物干预如饮食调整正日益受到关注。已有研究表明,地中海饮食及MIND饮食因富含抗炎、抗氧化成分,可能对神经退行性疾病及认知功能有保护作用,但针对MS患者的证据尚不充分。

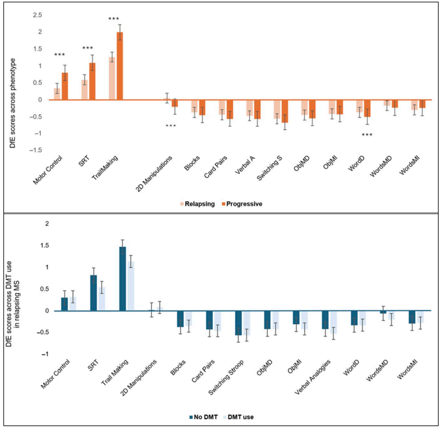
研究采用横断面设计,纳入967名完成英国MS登记中的认知测试和饮食问卷的患者。饮食数据通过130项食品频率问卷(EPIC-Norfolk FFQ)获得,计算替代地中海饮食得分(aMED,0-9分)及MIND饮食得分(0-15分)。认知功能通过MS特异性在线测试工具Cognitron-MS的13项任务评估,覆盖总体认知及四个认知域(物体记忆、问题解决、信息处理速度和词汇记忆)。认知分数以标准化的“偏离预期值”(DfE)表示,线性回归模型调整了总能量摄入、MS类型(复发性与进展性)、病程及当前疾病修饰治疗(DMT)使用情况,进一步通过亚组分析探讨这些变量的调节作用。
结果发现,较高的aMED得分主要与更快的信息处理速度(IPS)相关,尤其在简单反应时(SRT)和运动控制任务中表现明显。同时,高MIND饮食得分不仅与信息处理速度相关,还与词汇记忆表现改善显著相关。按照饮食得分分组,处于中高水平饮食依从性的患者在言语类任务(如口头类比、词义定义)及词汇记忆即时和延迟回忆任务中,表现较低依从组高约0.4个标准差。亚组分析显示,进展型MS患者中,饮食模式与认知表现的联系更为显著;而在复发型MS患者中,未使用DMT者的MIND饮食与认知表现关联更强。敏感性分析验证了结果的稳健性。

图:MS不同表型以及复发型MS中DMT对认知功能的影响
综上,本研究支持饮食结构与MS患者特定认知功能之间存在正向关联,尤其是信息处理速度和记忆相关任务。研究强调认知障碍在MS中表现为多域受累,单一总体认知指标可能无法全面反映。结果提示地中海及MIND饮食的抗炎、抗氧化特性及对肠-脑轴的潜在调节作用可能是其认知保护作用的机制基础。此外,不同MS亚型及治疗状态下的差异关联提示,未来饮食干预应考虑个体化因素。尽管效果量适中,但鉴于认知退化的复杂病理,该关联的累积效应可能具有临床意义。
原始出处
Yu, M.; Simpson-Yap, S.; Lerede, A.; Nicholas, R.; Coe, S.; Tektonidis, T.G.; Solsona, E.M.; Middleton, R.; Probst, Y.; Hampshire, A.; et al. Mediterranean and MIND Dietary Patterns and Cognitive Performance in Multiple Sclerosis: A Cross-Sectional Analysis of the UK Multiple Sclerosis Register. Nutrients 2025, 17, 3326. https://doi.org/10.3390/nu17213326
本文相关学术信息由梅斯医学提供,基于自主研发的人工智能学术机器人完成翻译后邀请临床医师进行再次校对。如有内容上的不准确请留言给我们。
猜你喜欢
- Semin Arthritis Rheum:抗合成酶综合征的激素减量及分步治疗方案的疗效与安全性
- 2019年11月03日每日养生健康简报,星期日!健康是一种生活态度!
- 非淋菌性尿道炎患者可伴发Reifer综合征
- 延长膝关节寿命?这个方法最有用
- 试管婴儿期间男方用药应该注意什么?
- JAMA Oncol:免疫检查点抑制剂治疗Child-Pugh B级晚期肝细胞癌
- European Radiology:如何进行异柠檬酸脱氢酶野生型胶质母细胞瘤患者的生存预测?
- 秋季儿童清肺吃什么?秋季儿童清肺食谱有哪些?
- 北京市财政8.5亿支持养猪场升级改造
- 泉州:起底黑护工!持证护理员一天要价200元 只是看你一眼
- 搜索
-
- 1000℃李寰:先心病肺动脉高压能根治吗?
- 1000℃除了吃药,骨质疏松还能如何治疗?
- 1000℃抱孩子谁不会呢?保护脊柱的抱孩子姿势了解一下
- 1000℃妇科检查有哪些项目?
- 1000℃妇科检查前应做哪些准备?
- 1000℃女性莫名烦躁—不好惹的黄体期
- 1000℃会影响患者智力的癫痫病
- 1000℃治女性盆腔炎的费用是多少?
- 标签列表
-
- 星座 (702)
- 孩子 (526)
- 恋爱 (505)
- 婴儿车 (390)
- 宝宝 (328)
- 狮子座 (313)
- 金牛座 (313)
- 摩羯座 (302)
- 白羊座 (301)
- 天蝎座 (294)
- 巨蟹座 (289)
- 双子座 (289)
- 处女座 (285)
- 天秤座 (276)
- 双鱼座 (268)
- 婴儿 (265)
- 水瓶座 (260)
- 射手座 (239)
- 不完美妈妈 (173)
- 跳槽那些事儿 (168)
- baby (140)
- 女婴 (132)
- 生肖 (129)
- 女儿 (129)
- 民警 (127)
- 狮子 (105)
- NBA (101)
- 家长 (97)
- 怀孕 (95)
- 儿童 (93)
- 交警 (89)
- 孕妇 (77)
- 儿子 (75)
- Angelababy (74)
- 父母 (74)
- 幼儿园 (73)
- 医院 (69)
- 童车 (66)
- 女子 (60)
- 郑州 (58)