首页 > 医疗资讯/ 正文
1型糖尿病(T1DM)是一种常见的自身免疫性代谢疾病,主要影响儿童及青少年,因胰腺β细胞破坏导致胰岛素绝对缺乏,进而引起血糖调节紊乱。良好的血糖控制对于预防微血管和大血管并发症至关重要。近年来,胰岛素泵技术不断进步,尤其含有预测性低血糖暂停(PLGS)和先进混合闭环(AHCL)系统的应用,为患者提供了更智能的血糖管理方案。AHCL系统通过自动调整胰岛素输注来实现更稳定的血糖控制,适用于儿童和青少年群体。 除了胰岛素治疗外,科学合理的饮食规划和规律的身体活动亦是T1DM管理的重要组成部分。研究表明,低血糖指数饮食和规律运动有助于改善血糖波动,提升代谢控制。此外,心理健康状态与血糖控制密切相关,糖尿病相关的压力和抑郁症状常导致血糖水平波动增加。

本研究比较了采用两种不同胰岛素泵技术的儿童及青少年T1DM患者在代谢控制、饮食习惯、身体活动及心理健康方面的差异。研究发现,AHCL系统显著改善了血糖控制指标,但饮食和运动习惯仍存在不足,心理健康水平两组无显著差异。
研究人员于2024年7月至9月期间招募了37名符合ISPAD诊断标准的1型糖尿病儿童及青少年,分别使用Medtronic公司的PLGS胰岛素泵(640G或740G,16例)及AHCL系统(780G,21例)。收集患者的临床资料、连续血糖监测(CGM)数据以及通过问卷调查获得的饮食习惯(FFQ-6)、身体活动(PAQ-C)和生活质量(PedsQL)数据。 所有参与者均参加了为期三个月(共五次,每次两小时)的烹饪工作坊,内容涵盖低血糖指数饮食教育、营养知识、碳水化合物计数技巧及身心健康指导,由多学科团队(糖尿病专家、营养师、护士及心理学家)共同实施。
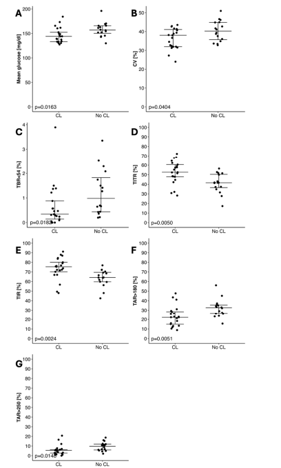
结果显示,两组患者在年龄、性别比例、体型指标及疾病持续时间方面无显著差异。CGM数据显示,使用AHCL系统的患者平均血糖更低(144.02 mg/dL vs. 157.06 mg/dL,p=0.0193),血糖变异系数(CV)更小(38.03% vs. 40.24%,p=0.0404),目标血糖范围内时间(TIR)更长(52.52% vs. 41.57%,p=0.0050),高血糖时间(≥180 mg/dL)和严重高血糖时间(≥250 mg/dL)均显著较少。

图:特定血糖参数与胰岛素泵模型的比较
问卷调查结果显示,两组患者的饮食习惯均存在偏差,普遍摄入较多碳水化合物,偏好甜食和含糖饮料,缺乏规律饮食及均衡营养。身体活动水平较低,缺乏规律的运动锻炼。心理健康评估未见两组差异。 值得注意的是,血糖低于目标范围(低血糖)时间较长的患者更频繁饮用果汁和含糖饮料,可能与低血糖应急处理有关。

图:血糖变异性与儿童PedsQL之间的斯皮尔曼相关性
总之,本研究结果证实了AHCL系统在儿童和青少年T1DM患者中对于血糖控制的优势,特别是在提高TIR和降低血糖变异性方面的显著作用,符合现有文献报道的自动胰岛素输注系统优越性。良好的血糖控制不仅降低急性低血糖风险,还可减少长期并发症的发生概率。 然而,饮食和身体活动方面的不足仍是制约代谢控制提升的重要因素。
尽管所有患者参加了针对低血糖指数饮食的系统教育,仍存在不规范饮食和缺乏运动的现象,提示单纯教育措施难以彻底改变生活习惯,需结合个体化指导和行为干预。 心理健康虽未显著差异,但糖尿病相关心理压力的潜在负面影响不容忽视。临床实践中应加强对患者心理状态的监测与干预,促进综合管理。
原始出处
Lejk, A.; Myśliwiec, K.; Chrzanowski, J.; Burzyński, J.; Michalak, A.; Musiał-Paździor, M.; Bandura, M.; Rutkowska-Kośmińska, J.; Drzewińska, K.; Grabowska, A.; et al. Comparison of Metabolic Control, Dietary Habits, Activity, and Psychological Condition in Children and Adolescents Treated with Personal Insulin Pumps. Nutrients 2025, 17, 3304. https://doi.org/10.3390/nu17203304
本文相关学术信息由梅斯医学提供,基于自主研发的人工智能学术机器人完成翻译后邀请临床医师进行再次校对。如有内容上的不准确请留言给我们。
- 搜索
- 
        
- 1000℃李寰:先心病肺动脉高压能根治吗?
- 1000℃除了吃药,骨质疏松还能如何治疗?
- 1000℃抱孩子谁不会呢?保护脊柱的抱孩子姿势了解一下
- 1000℃妇科检查有哪些项目?
- 1000℃妇科检查前应做哪些准备?
- 1000℃女性莫名烦躁—不好惹的黄体期
- 1000℃会影响患者智力的癫痫病
- 1000℃治女性盆腔炎的费用是多少?
- 标签列表
- 
        - 星座 (702)
- 孩子 (526)
- 恋爱 (505)
- 婴儿车 (390)
- 宝宝 (328)
- 狮子座 (313)
- 金牛座 (313)
- 摩羯座 (302)
- 白羊座 (301)
- 天蝎座 (294)
- 巨蟹座 (289)
- 双子座 (289)
- 处女座 (285)
- 天秤座 (276)
- 双鱼座 (268)
- 婴儿 (265)
- 水瓶座 (260)
- 射手座 (239)
- 不完美妈妈 (173)
- 跳槽那些事儿 (168)
- baby (140)
- 女婴 (132)
- 生肖 (129)
- 女儿 (129)
- 民警 (127)
- 狮子 (105)
- NBA (101)
- 家长 (97)
- 怀孕 (95)
- 儿童 (93)
- 交警 (89)
- 孕妇 (77)
- 儿子 (75)
- Angelababy (74)
- 父母 (74)
- 幼儿园 (73)
- 医院 (69)
- 童车 (66)
- 女子 (60)
- 郑州 (58)