首页 > 医疗资讯/ 正文
在晚期癌症的治疗中,我们常常面临一个核心问题:治疗在延长生命的同时,是否维护了,甚至提升了患者的生命质量?对于晚期软组织肉瘤这一相对罕见且棘手的癌症,这个问题尤为关键。长期以来,一线 palliative 化疗(主要是蒽环类药物)是标准方案,但化疗对患者生活质量的真实影响,我们却缺乏系统性的纵向数据。
近期,发表在eClinicalMedicine杂志上的一项名为HOLISTIC的前瞻性观察性队列研究,首次为我们描绘了清晰的图景。这项在荷兰和英国多个中心进行的研究,招募了135名开始接受一线 palliative 化疗的晚期软组织肉瘤患者,并采用国际通用的生活质量量表,在治疗前及每个化疗周期前进行系统评估。其核心发现挑战了我们的一些固有认知,并对临床实践发出了重要提示。

研究揭示了一个明确的趋势:患者的整体健康状况出现了具有统计学和临床意义的显著下降。从治疗前的平均分68.2分,到第4周期(或最终评估时)的60.7分,平均下降了11.3分。根据公认的标准,超过10分的变化即被视为“临床相关”,这意味着患者确实切身感受到了生活质量的恶化。更值得深思的是,这种生活质量的下降与肿瘤是否对化疗有效无关。无论是达到部分缓解或疾病稳定的患者,还是疾病进展的患者,其整体健康状况都出现了显著恶化。这强烈提示,化疗本身的毒性是导致生活质量下降的重要推手,而传统的影像学评估或许并不能完全代表患者所感受到的“临床获益”。

图:随时间变化的总体健康状况评分
更有趣的是,基线身体状况更好的患者,其生活质量的下降速度反而更快,远高于身体状况稍差的患者。研究者分析了可能的原因:身体状况好的患者起始生活质量分数更高,因此对健康状况的恶化感知更明显;他们可能日常活动更多,化疗毒性对其生活的影响更大。这一发现对于临床决策至关重要,它提示我们,对于身体状况良好的患者,在启动化疗时需更审慎地权衡潜在的生活质量损失,甚至可以考虑将“推迟治疗”作为一个可行的选项进行讨论。

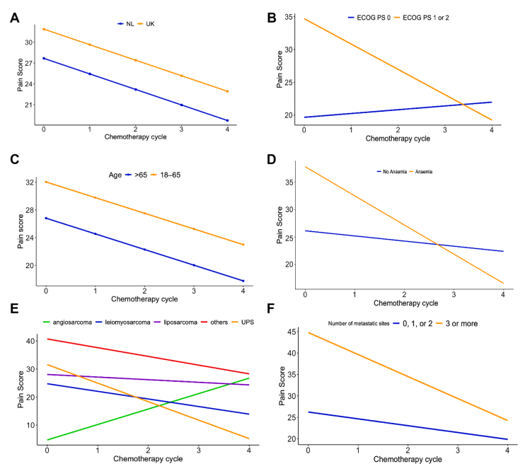
图:使用线性混合效应模型分析随时间变化的疼痛评分
在研究生活质量的各个维度时,数据显示出细微变化。其中,疼痛整体有轻微改善,尤其在那些基线疼痛更严重的患者中改善更明显,这可能得益于疼痛管理或化疗本身对肿瘤的抑制作用。然而,疲乏、恶心呕吐、呼吸困难、便秘这些症状则与整体健康状况趋势一致,均随着化疗的进行而显著加重。在身体功能方面,也出现了恶化,并且在身体状况好的患者中恶化更快。相对而言,患者的社会、角色、情绪功能在化疗期间相对稳定,这或许可以看作是一个积极的信号,表明患者的核心社会与情感功能得以维持。
此外,研究还发现,老年患者与年轻患者在生活质量的下降幅度上没有显著差异,提示年龄本身不应成为拒绝 palliative 化疗的理由。多变量分析还显示,英国患者的基线生活质量显著低于荷兰患者,这可能与两国普通人群的健康基线差异或英国患者入组时病程更长有关。同时,近三分之一患者在化疗前就存在贫血,且贫血与更差的基础生活质量相关。
综上,HOLISTIC研究的结果,为晚期软组织肉瘤的临床实践投下了深远的影响。它促使我们重新审视治疗目标:在生存获益有限的前提下,生活质量必须被提升到与生存期同等重要的地位。医生需要与患者及其家人开诚布公地讨论,化疗在争取时间的同时,很可能伴随着生活质量的下降。个体化决策因此变得至关重要,尤其对于那些身体状况良好的患者,应充分告知他们可能面临更快的生活质量下降风险。这项研究也强有力地论证了,患者报告结局应被系统地整合进常规诊疗,而不仅仅是临床试验的“点缀”,这能帮助医生及时发现并处理副作用,优化支持治疗。最重要的是,它提醒我们,肿瘤缩小并不完全等同于患者感觉更好,临床决策需要综合影像学、生存数据和生活质量信息,进行全方位的评估。
原始出处
Roets, Evelyne et al.Health-related quality of life in patients with advanced soft tissue sarcoma receiving first-line palliative chemotherapy (HOLISTIC): longitudinal results from a prospective, observational cohort study.eClinicalMedicine, Volume 89, 103561
本文相关学术信息由梅斯医学提供,基于自主研发的人工智能学术机器人完成翻译后邀请临床医师进行再次校对。如有内容上的不准确请留言给我们。
- 搜索
- 
        
- 1000℃李寰:先心病肺动脉高压能根治吗?
- 1000℃除了吃药,骨质疏松还能如何治疗?
- 1000℃抱孩子谁不会呢?保护脊柱的抱孩子姿势了解一下
- 1000℃妇科检查有哪些项目?
- 1000℃妇科检查前应做哪些准备?
- 1000℃女性莫名烦躁—不好惹的黄体期
- 1000℃会影响患者智力的癫痫病
- 1000℃治女性盆腔炎的费用是多少?
- 标签列表
- 
        - 星座 (702)
- 孩子 (526)
- 恋爱 (505)
- 婴儿车 (390)
- 宝宝 (328)
- 狮子座 (313)
- 金牛座 (313)
- 摩羯座 (302)
- 白羊座 (301)
- 天蝎座 (294)
- 巨蟹座 (289)
- 双子座 (289)
- 处女座 (285)
- 天秤座 (276)
- 双鱼座 (268)
- 婴儿 (265)
- 水瓶座 (260)
- 射手座 (239)
- 不完美妈妈 (173)
- 跳槽那些事儿 (168)
- baby (140)
- 女婴 (132)
- 生肖 (129)
- 女儿 (129)
- 民警 (127)
- 狮子 (105)
- NBA (101)
- 家长 (97)
- 怀孕 (95)
- 儿童 (93)
- 交警 (89)
- 孕妇 (77)
- 儿子 (75)
- Angelababy (74)
- 父母 (74)
- 幼儿园 (73)
- 医院 (69)
- 童车 (66)
- 女子 (60)
- 郑州 (58)