首页 > 医疗资讯/ 正文
出生体重是评估儿童健康和发育的重要指标,可预测围产期死亡率、发病率以及慢性疾病的风险。正常出生体重为2500至4000克,体重偏低(<2500克)称为低体重儿,偏高(>4000克)为巨大儿。研究发现,孕期母亲的不良饮食习惯、营养不良、压力及吸烟等因素均会影响出生体重。此外,母亲的体重指数(BMI)过高或患有妊娠糖尿病则易导致巨大儿的出生。随着全球儿童超重和肥胖问题的加剧,探索出生体重与儿童体重异常的关系具有重要意义。
儿童期,尤其是出生至2岁阶段,是体重发育的关键期。BMI作为儿童体重异常的判定指标,早期BMI迅速上升预示未来超重的风险。五岁是儿童运动技能黄金期,生活方式和饮食习惯逐渐形成,父母的行为模式对其影响显著。青春期儿童则面临更多生理和心理变化,遗传、营养、环境等多因素交织影响其体重。

本研究旨在探讨不同年龄阶段(5、10及15岁)儿童的出生体重与其超重及肥胖发生的关系,同时评估儿童体重与父母体重和BMI的相关性,以期为预测和预防儿童及青少年超重和肥胖提供依据。
研究遵循赫尔辛基宣言,获得伦理委员会批准。共招募601名参与者,最终297名儿童符合纳入标准,分为3组:5岁组(80人)、10岁组(124人)、15岁组(93人)。收集了出生体重、出生长度、孕周及父母的身高、体重和BMI数据。儿童体重采用MC-780人体成分分析仪测定,父母BMI按世界卫生组织(WHO)简化分类分级。儿童体重异常依据年龄和性别的百分位数图判断。采用卡方检验、Kruskal-Wallis检验及Spearman秩相关分析数据,显著性水平设为P<0.05。
结果显示,所有儿童均为足月出生,15岁组儿童孕周显著晚于10岁组。5岁组儿童出生体重最高,15岁组最轻小。5岁组体重和BMI百分位显著低于10岁和15岁组,身高百分位无显著差异。父母体重和BMI在不同组间存在差异,15岁组父亲体重和身高较低,5岁组母亲体重和BMI最低。

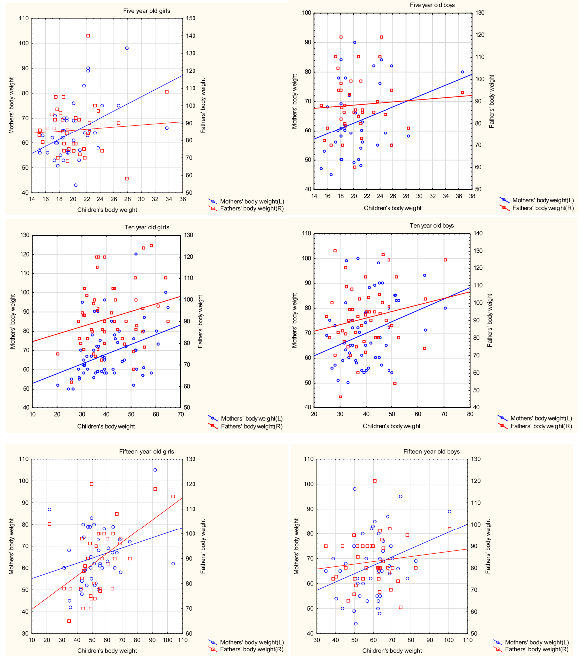
图:父母体重对儿童体重影响的散点图
超重及肥胖在10岁和15岁组儿童中更为常见,10岁组超重16.9%,肥胖12.1%。父母体重异常与儿童体重异常呈正相关,特别是母亲BMI与儿童BMI在各组均有显著相关,父亲BMI在15岁组相关性最强。
出生体重与5岁儿童的体重、身高、BMI及其百分位均显著相关,10岁组仅与身高相关,15岁组仅与身高相关。母亲身高和体重与儿童体征在多个年龄组显著相关,父亲体重和BMI则主要与10岁及15岁儿童体征相关。
综上,当前全球儿童肥胖问题严重,出生体重作为肥胖风险因素的研究意义重大。本研究发现出生体重与5岁儿童BMI正相关,提示出生体重较高的儿童在幼儿期可能更易出现体重超标。10岁组未见显著相关,可能与不同生活方式及发育阶段有关。父母体质尤其母亲BMI对儿童体重影响显著,父亲BMI对青少年期影响更突出,提示家庭遗传及行为模式在儿童体重形成中作用不可忽视。此外,社会经济状况、饮食习惯和环境因素虽未直接测量,但父母体重的增加暗示生活质量及习惯对儿童肥胖的潜在影响。
原始出处
Dorota W, Agnieszka P, Aleksandra K, Alicja B, Agnieszka C. Birth weight of a child and the occurrence of overweight and obesity in preschool and school age birth weight and overweight in children. Nutrition. 2025;138:112837. doi:10.1016/j.nut.2025.112837
本文相关学术信息由梅斯医学提供,基于自主研发的人工智能学术机器人完成翻译后邀请临床医师进行再次校对。如有内容上的不准确请留言给我们。
- 搜索
-
- 1000℃李寰:先心病肺动脉高压能根治吗?
- 1000℃除了吃药,骨质疏松还能如何治疗?
- 1000℃抱孩子谁不会呢?保护脊柱的抱孩子姿势了解一下
- 1000℃妇科检查有哪些项目?
- 1000℃妇科检查前应做哪些准备?
- 1000℃女性莫名烦躁—不好惹的黄体期
- 1000℃会影响患者智力的癫痫病
- 1000℃治女性盆腔炎的费用是多少?
- 标签列表
-
- 星座 (702)
- 孩子 (526)
- 恋爱 (505)
- 婴儿车 (390)
- 宝宝 (328)
- 狮子座 (313)
- 金牛座 (313)
- 摩羯座 (302)
- 白羊座 (301)
- 天蝎座 (294)
- 巨蟹座 (289)
- 双子座 (289)
- 处女座 (285)
- 天秤座 (276)
- 双鱼座 (268)
- 婴儿 (265)
- 水瓶座 (260)
- 射手座 (239)
- 不完美妈妈 (173)
- 跳槽那些事儿 (168)
- baby (140)
- 女婴 (132)
- 生肖 (129)
- 女儿 (129)
- 民警 (127)
- 狮子 (105)
- NBA (101)
- 家长 (97)
- 怀孕 (95)
- 儿童 (93)
- 交警 (89)
- 孕妇 (77)
- 儿子 (75)
- Angelababy (74)
- 父母 (74)
- 幼儿园 (73)
- 医院 (69)
- 童车 (66)
- 女子 (60)
- 郑州 (58)