首页 > 医疗资讯/ 正文
多发性骨髓瘤(Multiple Myeloma, MM)是一种由浆细胞恶性克隆增殖引起的血液系统恶性肿瘤。临床上,症状性MM常由两类前驱病变发展而来:早期发现前驱病变单克隆免疫球蛋白病(MGUS)及缓慢进展型多发性骨髓瘤(SMM)。MGUS表现为单克隆免疫球蛋白的存在但无症状,且转化风险相对较低;而SMM则是临床上更接近MM的亚临床状态,转化风险较高。当前国际指南建议仅在患者发展为症状性MM时开始治疗,因而普遍筛查前驱病变是否能带来生存获益仍存在争议。此外,随着疾病进展,肿瘤克隆的遗传复杂性增加,可能影响治疗反应和生存结局。阐明早期检测前驱病变是否改善MM患者生存,具有重要临床意义。

本回顾性队列研究利用韩国健康保险审查评估服务(HIRA)数据库,涵盖约100%韩国人口的医疗保险信息。研究纳入2009年1月1日至2022年11月30日期间新诊断的MGUS患者(n=5500)及MM患者(包括SMM和症状性MM,n=17809)。根据诊断和进展情况,将患者分为三组:MGUS转化为MM组(n=199)、SMM转化为MM组(n=447)与初发(de novo)MM组(n=15067)。 MGUS定义为至少两次ICD-10代码D47.2初诊,随后出现癌症报销代码V193;SMM定义为诊断MM后至少6个月内未启动MM靶向治疗且无MM相关危重事件(高钙血症、肾功能不全、贫血及骨病变)。MM进展则定义为开始接受一线MM治疗(如美法仑、硼替佐米、沙利度胺、来那度胺)。 为避免前期检测带来的时间偏倚,生存分析起点设为首次MM治疗日,同时排除诊断6个月内死亡者。采用逆概率处理加权法(IPTW)调整年龄、性别、合并症(Charlson合并症指数)和治疗强度等混杂因素。使用Fine-Gray模型计算累积进展概率,基于IPTW调整的Kaplan-Meier曲线及Cox回归模型分析整体生存率(OS)。多项敏感性分析评估结果稳健性,计算E值量化潜在未测混杂因素影响。
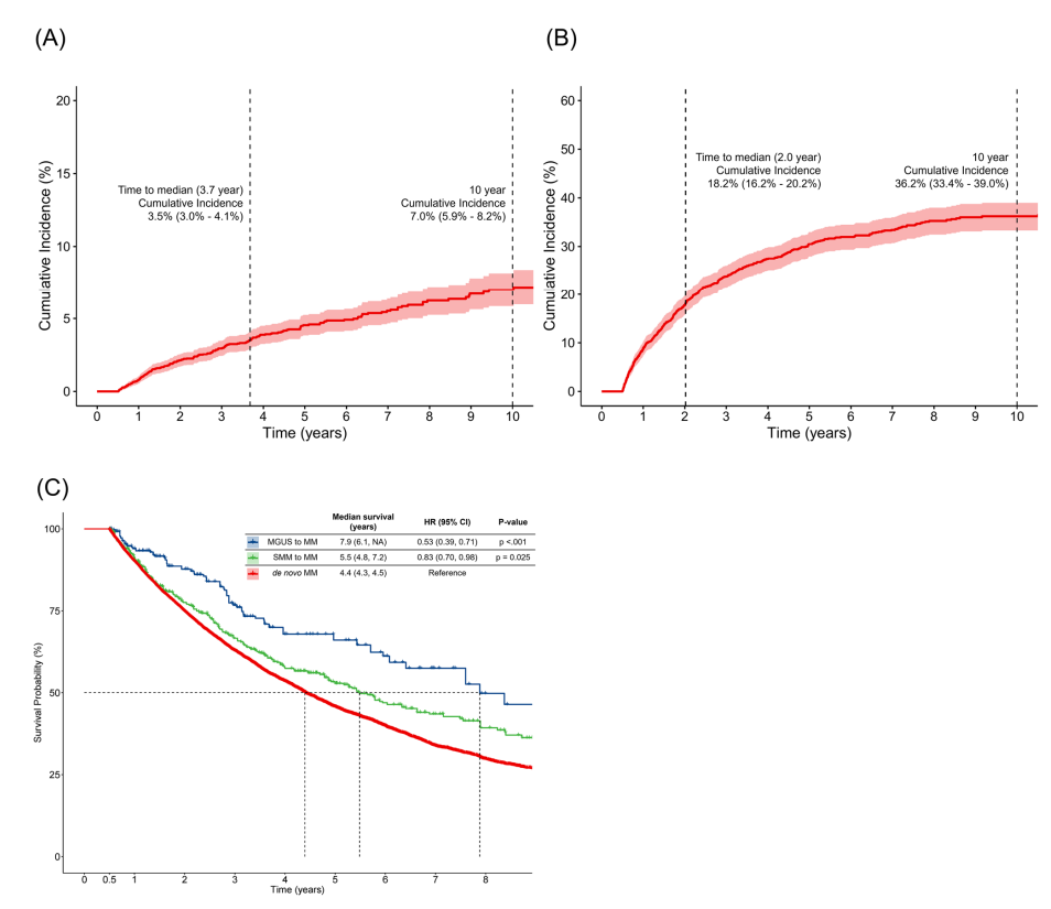
结果显示,MGUS转MM组患者年龄较大、合并症较多且体质较弱,治疗方案也与其他组存在显著差异。SMM转MM组更常采用双药方案,硼替佐米-地塞米松组合使用率显著较高(26.8%),而MGUS转MM及初发MM组分别为17.6%和13.4%。中位随访时间分别为4.0年、5.0年和5.3年。 10年累计进展率为MGUS组7.0%,SMM组36.2%,中位进展时间分别为3.7年和2.0年。生存分析显示,调整混杂因素后,MGUS转MM组和SMM转MM组相较于初发MM组均具有显著生存优势,风险比(HR)分别为0.53(95% CI 0.39–0.71,p<0.001)和0.83(95% CI 0.70–0.98,p=0.025)。多种敏感性分析均验证了结果的稳健性,E值分析表明仅极强的未测混杂因素才可能抹消该生存差异。 此外,尽管MGUS转MM组患者合并症更多,尤其是肾功能不全等MM相关事件较多,其生存率依然优于SMM转MM组,提示两者潜在的生物学差异。

图:从MGUS和SMM队列进展到多发性骨髓瘤以及MGUS、SMM和原发性MM队列的总生存期
综上,本研究首次基于韩国全国真实世界大数据,证实了早期发现MGUS和SMM前驱病变的患者,在发展为症状性多发性骨髓瘤后,生存率明显优于未发现前驱病变的患者。该结果支持在临床中对已知前驱病变患者进行结构化监测和管理,及时干预可能显著改善预后。
原始出处
Choi, S., Park, SS., Lee, C.H. et al. Improved survival in multiple myeloma following prior detection of precursor conditions: a nationwide real-world study. Blood Cancer J. 15, 185 (2025). https://doi.org/10.1038/s41408-025-01395-6
本文相关学术信息由梅斯医学提供,基于自主研发的人工智能学术机器人完成翻译后邀请临床医师进行再次校对。如有内容上的不准确请留言给我们。
- 搜索
-
- 1000℃李寰:先心病肺动脉高压能根治吗?
- 1000℃除了吃药,骨质疏松还能如何治疗?
- 1000℃抱孩子谁不会呢?保护脊柱的抱孩子姿势了解一下
- 1000℃妇科检查有哪些项目?
- 1000℃妇科检查前应做哪些准备?
- 1000℃女性莫名烦躁—不好惹的黄体期
- 1000℃会影响患者智力的癫痫病
- 1000℃治女性盆腔炎的费用是多少?
- 标签列表
-
- 星座 (702)
- 孩子 (526)
- 恋爱 (505)
- 婴儿车 (390)
- 宝宝 (328)
- 狮子座 (313)
- 金牛座 (313)
- 摩羯座 (302)
- 白羊座 (301)
- 天蝎座 (294)
- 巨蟹座 (289)
- 双子座 (289)
- 处女座 (285)
- 天秤座 (276)
- 双鱼座 (268)
- 婴儿 (265)
- 水瓶座 (260)
- 射手座 (239)
- 不完美妈妈 (173)
- 跳槽那些事儿 (168)
- baby (140)
- 女婴 (132)
- 生肖 (129)
- 女儿 (129)
- 民警 (127)
- 狮子 (105)
- NBA (101)
- 家长 (97)
- 怀孕 (95)
- 儿童 (93)
- 交警 (89)
- 孕妇 (77)
- 儿子 (75)
- Angelababy (74)
- 父母 (74)
- 幼儿园 (73)
- 医院 (69)
- 童车 (66)
- 女子 (60)
- 郑州 (58)