首页 > 医疗资讯/ 正文
疲劳,尤其是运动诱导的疲劳,是一个复杂的生理现象,表现为体能下降、代谢产物积累及氧化应激增强。精氨酸作为条件必需氨基酸,是一氧化氮合酶(NOS)的底物,参与血管舒张、氨的尿素循环及能量代谢,有助于调节血流和代谢废物清除。已有研究提示精氨酸可提高运动耐力、改善氧输送和调节免疫抗氧化反应,但其抗疲劳的具体机制尚不清晰,尤其缺乏体内外模型的整合研究。
本研究通过慢性疲劳动物模型结合细胞实验,系统评估了精氨酸(L-arginine)对运动耐力和抗疲劳生物标志物的影响,首次揭示其在运动代谢、肌肉保护及抗氧化方面的综合作用机制。

研究人员选用雄性ICR小鼠,随机分为五组,给予口服精氨酸(300、600及1200 mg/kg体重/日)28天。采用两种疲劳模型:每周两次的强迫游泳和跑步机疲劳测试,评估运动耐力和疲劳相关生化指标,包括血糖、乳酸、乳酸脱氢酶(LDH)、肌酸激酶(CPK)、非酯化脂肪酸(NEFA)、氨、糖原、一氧化氮(NO)、皮质醇及抗氧化酶活性。同时,采用C2C12小鼠成肌细胞,评估精氨酸对细胞增殖、分化(肌原蛋白表达)、葡萄糖代谢(己糖激酶活性)及氧化应激(ROS水平)的影响。
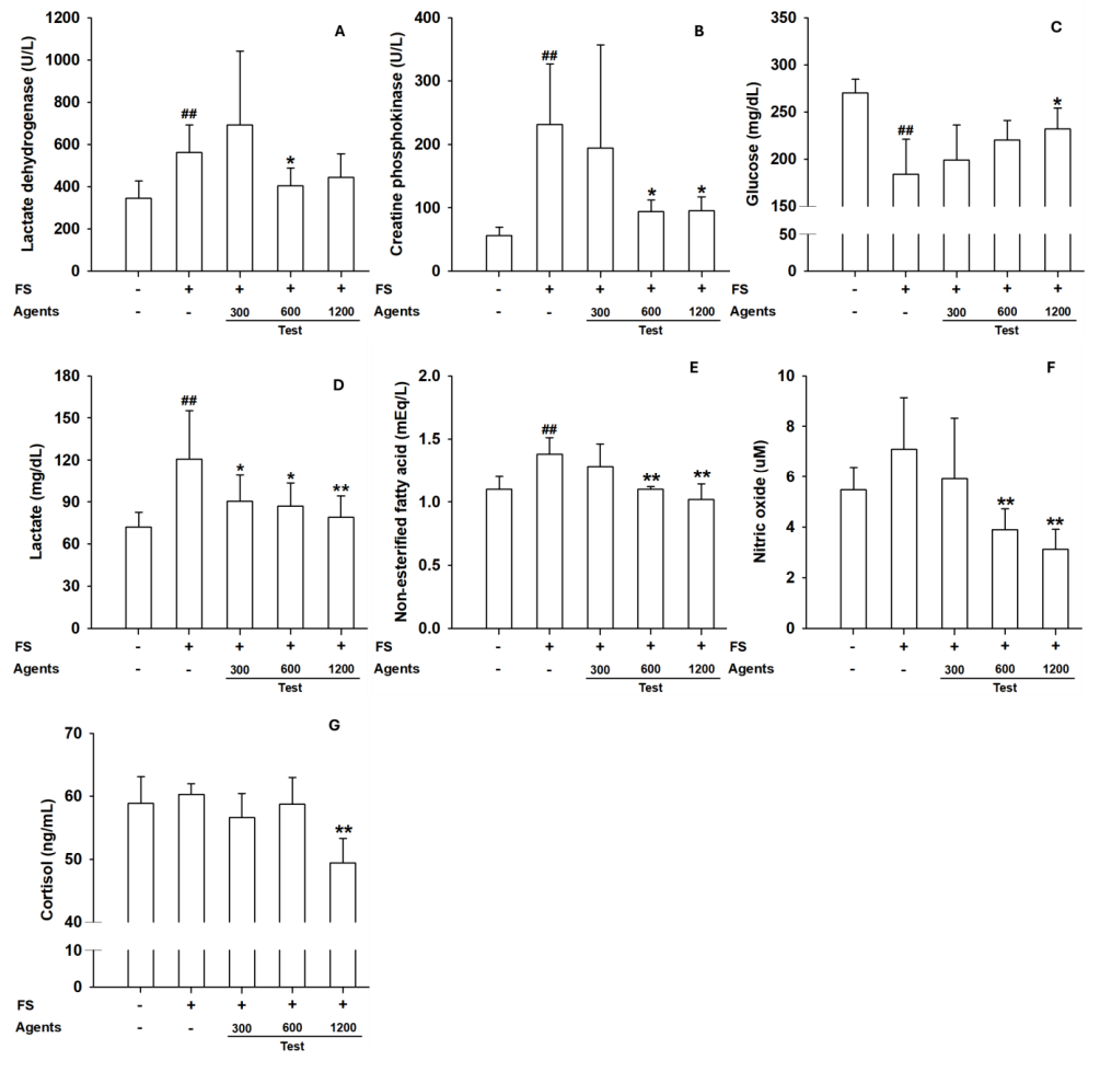
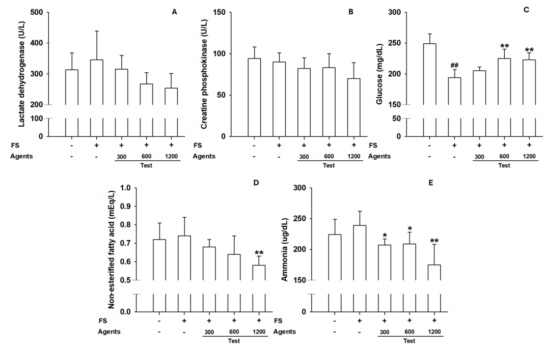
研究发现,体内实验显示,精氨酸补充显著降低了疲劳模型小鼠血清中的LDH、CPK、NEFA、氨、一氧化氮及皮质醇水平,表明减轻了肌肉损伤和代谢压力。血糖和肌肉及肝脏糖原储备均有所增加,支持能量代谢的改善。 强迫游泳测试中,血清乳酸水平下降,提示减少了厌氧糖酵解依赖;而跑步机测试中肌肉内乳酸升高,反映乳酸作为能量底物和信号分子的双重作用,表现出运动模式依赖的乳酸调节。

图:精氨酸对强迫游泳实验中小鼠血清生化指标的影响
跑步机耐力测试结果显示,1200 mg/kg组小鼠的疲劳时间显著延长,表明精氨酸提升了运动耐力;游泳模型中虽未显著改善停滞时间,但呈剂量依赖性趋势。肝脏内的抗氧化酶(如过氧化氢酶)活性得到调节,提示精氨酸具有减轻氧化应激的作用。

图:强迫游泳实验中的组织生物标志物
在体外实验中,精氨酸增强了C2C12细胞的己糖激酶活性,促进了肌原蛋白表达,并且显著减少了由过氧化氢诱导的细胞内活性氧(ROS)生成,支持其促进葡萄糖利用、肌肉分化及抗氧化的作用。

图:精氨酸对跑步机耐力实验中血清生化指标的影响
综上,本研究通过结合体内两种疲劳模型和体外肌细胞实验,全面阐释了精氨酸的抗疲劳机制。其促进能量代谢、保护肌肉组织、调节乳酸代谢和减轻氧化应激的作用,为其作为运动功能性营养素的应用提供了科学依据。研究还揭示乳酸代谢的情境依赖性,反映了不同运动模式下能量供应和代谢调控的复杂性。 精氨酸作为一氧化氮的前体,可能通过改善血管舒张和氧气供应,支持耐力运动表现。此外,其在尿素循环中促进氨的排除,减轻代谢废物积累,也有利于疲劳恢复。体外肌细胞数据则证实了其促进肌肉细胞分化和抗氧化的潜能。 虽然本研究未详尽探究NO/cGMP信号通路及线粒体生物发生等路径,未来还需扩展分子层面研究,并验证在人类运动中的应用效果和剂量优化。
原始出处
Lee, S.; Nam, W.; An, K.S.; Cho, E.-J.; Choi, Y.-M.; Ryu, H.Y. L-Arginine Supplementation Improves Endurance Under Chronic Fatigue: Inducing In Vivo Paradigms with In Vitro Support. Nutrients 2025, 17, 3239. https://doi.org/10.3390/nu17203239
本文相关学术信息由梅斯医学提供,基于自主研发的人工智能学术机器人完成翻译后邀请临床医师进行再次校对。如有内容上的不准确请留言给我们。
- 搜索
-
- 1000℃李寰:先心病肺动脉高压能根治吗?
- 1000℃除了吃药,骨质疏松还能如何治疗?
- 1000℃抱孩子谁不会呢?保护脊柱的抱孩子姿势了解一下
- 1000℃妇科检查有哪些项目?
- 1000℃妇科检查前应做哪些准备?
- 1000℃女性莫名烦躁—不好惹的黄体期
- 1000℃会影响患者智力的癫痫病
- 1000℃治女性盆腔炎的费用是多少?
- 标签列表
-
- 星座 (702)
- 孩子 (526)
- 恋爱 (505)
- 婴儿车 (390)
- 宝宝 (328)
- 狮子座 (313)
- 金牛座 (313)
- 摩羯座 (302)
- 白羊座 (301)
- 天蝎座 (294)
- 巨蟹座 (289)
- 双子座 (289)
- 处女座 (285)
- 天秤座 (276)
- 双鱼座 (268)
- 婴儿 (265)
- 水瓶座 (260)
- 射手座 (239)
- 不完美妈妈 (173)
- 跳槽那些事儿 (168)
- baby (140)
- 女婴 (132)
- 生肖 (129)
- 女儿 (129)
- 民警 (127)
- 狮子 (105)
- NBA (101)
- 家长 (97)
- 怀孕 (95)
- 儿童 (93)
- 交警 (89)
- 孕妇 (77)
- 儿子 (75)
- Angelababy (74)
- 父母 (74)
- 幼儿园 (73)
- 医院 (69)
- 童车 (66)
- 女子 (60)
- 郑州 (58)