首页 > 医疗资讯/ 正文
罕见疾病虽然个体患病率低,但种类繁多,照护者往往需要面对长期、复杂且高度专业化的照护需求,这些需求不仅涉及日常生活的协助,还包括医疗管理、情感支持以及与社会服务系统的协调,照护者在这样的过程中承受着多方面的负担,包括身体、情感、心理和社会等多个维度,准确评估这种负担对于制定有效的支持策略至关重要。Zarit负担访谈(ZBI)作为评估照护负担的常用工具,最初是为失智症患者的照护者设计的,经过多年发展,已在多种照护情境中得到应用和验证,然而在罕见病照护者这一特定群体中的应用仍较为有限,尤其是在波兰这样的医疗资源相对紧张、照护支持体系尚不完善的国家背景下,验证ZBI的适用性显得尤为迫切。本研究旨在填补这一空白,通过在波兰罕见病照护者中验证ZBI的心理测量特性,探索其因子结构,并建立按年龄和性别分层的规范性数据,从而为临床实践和政策制定提供依据。

研究采用横断面调查设计,通过在线自填问卷的形式进行数据收集,调查时间为2024年3月至8月,通过与罕见病患者组织合作,以便利抽样的方式招募参与者,最终样本包括942名家庭照护者,其中男性130人,女性812人,年龄分布以40至49岁组占比最高,达到43.9%,其次是30至39岁组,占40.4%,年轻照护者(18至29岁)和50岁以上照护者分别占3.6%和12.0%。参与照护的疾病类型多样,涵盖神经性、代谢性和遗传性罕见病,其中以杜兴/贝克尔型肌营养不良症、Dravet综合征、Angelman综合征和22q11.2缺失综合征等神经疾病最为常见,此外还包括糖原贮积病、尼曼-匹克病等代谢疾病,以及威廉姆斯综合征、特纳综合征等遗传综合征,样本中还有20.3%的照护者负责照护其他144种罕见或超罕见疾病患者,体现了疾病类型的广泛异质性。调查工具包括社会人口学问题以及波兰版Zarit负担访谈,该版本由Szatkowska和Basińska进行了完整的语言和文化适应,包括正向-反向翻译、预测试和心理测量验证,具有良好的信度和效度,ZBI共22个条目,采用5点李克特量表评分,总分范围0至88分,分数越高表示照护负担越重。
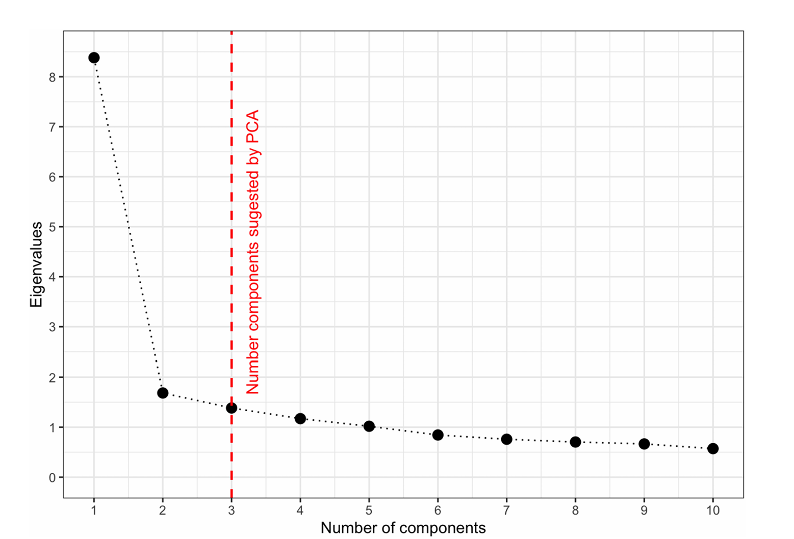
数据分析采用了探索性和验证性因子分析相结合的方法,首先通过主成分分析(PCA)探索ZBI的潜在因子结构,碎石图显示在第三个成分后出现明显的“拐点”,表明三因子模型能较好地解释数据方差,最终保留了17个因子载荷不低于0.45且复杂性度量不超过2的条目,归入三个因子:个人牺牲(7个条目)、情绪紧张(7个条目)以及照护者内疚和未来担忧(3个条目)。随后通过验证性因子分析(CFA)检验这一三因子模型,结果显示模型拟合指标优良,比较拟合指数(CFI)为0.942,Tucker-Lewis指数(TLI)为0.931,标准化均方根残差(SRMR)为0.052,近似误差均方根(RMSEA)为0.061,显著优于单因子模型,证实了三因子结构的有效性。信度分析显示各子量表内部一致性良好,个人牺牲、情绪紧张、照护者内疚和未来担忧子量表的Cronbach's α系数分别为0.861、0.848和0.722,表明测量工具在不同维度上均具有较高的可靠性。

图1 ZBI 22个项目的碎石图
为进一步提升量表的可解释性,研究引入了加权分数计算方法,即根据CFA得到的标准化因子载荷对每个条目的响应进行加权,从而得到各子量表和总分的加权值。个人牺牲和情绪紧张子量表的分数范围均为0至28分,照护者内疚和未来担忧子量表范围为0至12分,总分范围为0至68分,并根据分数划分了负担严重程度等级,例如个人牺牲和情绪紧张子量表分数低于7表示无至轻度负担,7至14分为轻度至中度,14至21分为中度至重度,21分以上为重度负担;照护者内疚和未来担忧子量表相应分界点为3、6、9分;总分低于17分为无至轻度负担,17至34分为轻度至中度,34至51分为中度至重度,51分以上为重度负担。描述性统计结果显示,个人牺牲子量表的均值为14.8,中位数为15.4,处于轻度至中度负担的上限并接近中度至重度范围,分布略向左偏,地板效应和天花板效应均低于1%;情绪紧张子量表均值为7.3,中位数为6.3,接近无至轻度和轻度至中度的分界点,地板效应为7.2%,表明有部分照护者情绪负担较低;照护者内疚和未来担忧子量表均值为6.9,中位数为7.0,处于中度负担范围,天花板效应为5.5%;总分均值为29.0,中位数为29.0,对应轻度至中度负担,分布接近对称,四分位距为20.3至37.5,地板和天花板效应均极低。
研究还提供了按性别和年龄分层的规范性数据,以帮助临床工作者和研究人员在具体情境中解读个体分数。个人牺牲子量表在各人口亚组中的均值集中在14至16分之间,例如50岁以上女性照护者均值最高为15.7,而16至39岁男性照护者均值最低为13.8,差异不大;情绪紧张子量表均值多在6至9分之间,50岁以上女性照护者均值为8.6,相对较高,但整体仍属轻度至中度范围;照护者内疚和未来担忧子量表均值在6.3至7.9之间,16至29岁女性照护者均值为7.9,略高于其他组;总分在各亚组中的均值在26.3至30.8之间,50岁以上女性照护者均值为30.8,略高于其他组,但所有组别均处于轻度至中度负担区间。这些结果表明,尽管不同性别和年龄的照护者在负担维度上存在细微差异,但整体负担水平分布相对集中,未出现极端高负担群体,反映了罕见病照护负担的多维性及中度分布的普遍特征。

图2 Zarit负担访谈总分的直方图和密度图
总之,本研究成功在波兰罕见病照护者中验证了Zarit负担访谈的三因子结构,证实其作为一种可靠、有效的评估工具,能够捕捉照护负担的多个方面,包括个人牺牲、情绪紧张以及内疚与未来担忧。与以往研究相比,这一多维模型更全面地反映了罕见病照护者的独特体验,尤其是在长期照护和不确定性管理方面,加权分数和规范性数据的引入进一步增强了量表的临床适用性,使个体分数的解读更加精准。研究的发现对于政策制定和实践干预具有重要启示,ZBI可用于识别高风险照护者,指导个性化支持服务的开发,例如心理疏导、喘息照护和经济援助,同时呼吁将照护者需求纳入更广泛的卫生和社会政策框架,从个体应对转向制度性支持。研究的局限性包括样本主要通过在线渠道招募,可能存在选择偏差,尤其是男性和年轻照护者代表性不足,且缺乏与常见慢性病患者照护者的比较,未来研究可开展纵向设计,探索照护负担随时间的变化趋势,并评估不同干预措施的效果,以进一步优化照护者支持体系。
原始出处:
Walkowiak, D., Jabkowski, P., & Domaradzki, J. (2025). Validation of the Zarit burden interview for Polish caregivers of individuals with rare diseases: a multidimensional approach to assessing caregiver burden. BMC Psychology, 13, 1024. https://doi.org/10.1186/s40359-025-03391-8
本文相关学术信息由梅斯医学提供,基于自主研发的人工智能学术机器人完成翻译后邀请临床医师进行再次校对。如有内容上的不准确请留言给我们。
- 搜索
-
- 1000℃李寰:先心病肺动脉高压能根治吗?
- 1000℃除了吃药,骨质疏松还能如何治疗?
- 1000℃抱孩子谁不会呢?保护脊柱的抱孩子姿势了解一下
- 1000℃妇科检查有哪些项目?
- 1000℃妇科检查前应做哪些准备?
- 1000℃女性莫名烦躁—不好惹的黄体期
- 1000℃会影响患者智力的癫痫病
- 1000℃治女性盆腔炎的费用是多少?
- 标签列表
-
- 星座 (702)
- 孩子 (526)
- 恋爱 (505)
- 婴儿车 (390)
- 宝宝 (328)
- 狮子座 (313)
- 金牛座 (313)
- 摩羯座 (302)
- 白羊座 (301)
- 天蝎座 (294)
- 巨蟹座 (289)
- 双子座 (289)
- 处女座 (285)
- 天秤座 (276)
- 双鱼座 (268)
- 婴儿 (265)
- 水瓶座 (260)
- 射手座 (239)
- 不完美妈妈 (173)
- 跳槽那些事儿 (168)
- baby (140)
- 女婴 (132)
- 生肖 (129)
- 女儿 (129)
- 民警 (127)
- 狮子 (105)
- NBA (101)
- 家长 (97)
- 怀孕 (95)
- 儿童 (93)
- 交警 (89)
- 孕妇 (77)
- 儿子 (75)
- Angelababy (74)
- 父母 (74)
- 幼儿园 (73)
- 医院 (69)
- 童车 (66)
- 女子 (60)
- 郑州 (58)