首页 > 医疗资讯/ 正文
在全球范围内,乳腺癌是女性中最常见的恶性肿瘤。随着早期诊断与治疗手段的进步,患者存活率显著提升,然而,治疗后的生活质量与身体机能恢复成为越来越受关注的议题。近期,发表在Nutrients杂志的一项波兰研究,聚焦于乳腺癌术后患者在化疗期间的身体成分变化,并进一步探讨其与身体活动、生活质量之间的关系,为我们提供了宝贵的临床洞察。

这项纵向观察性试点研究纳入了60名已完成乳腺癌手术、并即将开始辅助化疗的女性,平均年龄为57岁。研究人员在手术后(化疗前)及化疗第三周期前(约六周后)分别对参与者进行了两次评估。评估内容包括身体成分(通过人体测量与生物电阻抗法分析)、身体活动水平(使用国际身体活动问卷长版IPAQ-L)以及生活质量(采用WHOQOL-BREF量表)。
身体成分的变化:体重与肌肉量增加,脂肪比例稳定
研究发现,在化疗早期,患者的平均体重从69.5公斤上升至70.5公斤,BMI由26.6增至26.9,两者变化均具统计学意义。值得注意的是,肌肉质量也显著增加,全身肌肉量从43.8公斤升至44.4公斤,尤其在左臂、双腿和躯干部位更为明显。然而,全身脂肪比例并未显著改变,维持在32.5%左右。这一结果提示,化疗初期的体重上升可能并非单纯脂肪堆积,而可能与体液潴留或肌肉组织中的水分变化有关。

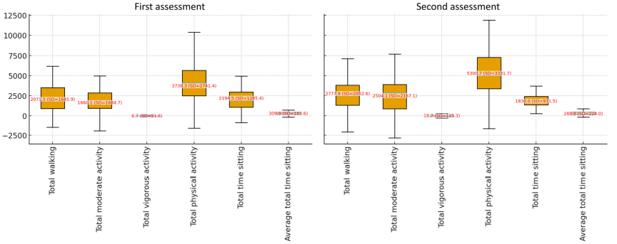
图:IPAQ-L结果
身体活动:总体提升,久坐时间减少
在身体活动方面,参与者的总体活动量显著提高,从中位数3543 MET-min/周上升至5242.5 MET-min/周。其中,中等强度活动增长最为显著,而高强度活动仍处于较低水平。此外,每周总久坐时间从2194.5分钟降至1830分钟,日均静坐时间也呈下降趋势。这说明即使在化疗期间,患者仍能通过适度活动改善身体机能,减少静坐带来的健康风险。
生活质量:总体稳定,环境领域有所改善
在生活质量的四个维度中,除环境领域有显著提升外,其余领域(身体、心理、社会关系)均未出现明显变化。环境评分的提高可能反映出患者对医疗资源、居住条件与社会支持的满意度上升。然而,研究也发现,脂肪比例与身体、社会关系领域的生活质量呈负相关,BMI与心理健康评分亦呈负相关,腰臀比更是在第二次评估中显著关联于心理健康的下降。这些数据揭示:脂肪的分布与数量,可能比肌肉量更直接地影响患者的心理与社交体验。
表:身体成分分析与生活质量之间的关系

身体成分、活动与生活质量之间的关联
进一步分析显示,久坐时间与体重、BMI及肌肉量呈正相关,说明即使肌肉量增加,若伴随久坐行为,仍可能不利于整体健康。而高强度活动与较低的腰臀比相关,提示高强度运动或有助改善中心性肥胖。尽管肌肉量有所上升,但其与生活质量各领域并未显示出显著相关性,这可能意味着在康复初期,心理与社会因素对生活质量的影响更为突出。
综上所述,这项研究为我们揭示了乳腺癌术后患者在化疗早期身体成分的复杂变化,以及其与身体活动、生活质量之间微妙而重要的联系。尽管肌肉量有所增长,但脂肪比例与分布仍是影响生活质量的关键因素。未来,我们呼吁更多结合个体化运动处方、营养指导与心理支持的综合性干预研究,以帮助乳腺癌幸存者在战胜疾病的同时,重塑健康体魄,提升生活质量,实现真正意义上的“全人康复”。
原始出处
Grupińska, J.; Wlazło, M.; Grajek, M.; Budzyń, M.; Malchrowicz-Mośko, E.; Jurys, T. Body Composition Analysis in Postoperative Breast Cancer Patients Undergoing Chemotherapy and Its Association with Physical Activity and Quality of Life: A Longitudinal Pilot Study. Nutrients 2025, 17, 3352. https://doi.org/10.3390/nu17213352
本文相关学术信息由梅斯医学提供,基于自主研发的人工智能学术机器人完成翻译后邀请临床医师进行再次校对。如有内容上的不准确请留言给我们。
- 上一篇: 天长市人民医院电子胃肠镜项目公开招标公告
- 下一篇: 杭州市临平区第一人民医院移动式C臂机招标公告
猜你喜欢
- Nature Immunology:清华大学祁海/王建斌合作报道鉴定长寿浆细胞类群
- 烫伤早期处理的常见误区
- 过敏性鼻炎常见的致敏原是什么
- Lasers Surg Med:强脉冲光和光动力疗法联合10%盐酸氨酚酸凝胶可有效治疗光损伤
- Alzheimer&Dementia:确定和评估SHIP1 治疗靶点用于治疗晚发性阿尔茨海默病的有效性和安全性
- 热水洗脸毛孔会变大吗
- Science:重大突破!首次实现核蛋白非泛素化降解,midnolin蛋白横冲出世
- 记住腿上一穴腰痛不用愁
- 韭菜炒绿豆芽的做法-家常味炒菜谱
- World J Psychiatry:中国学者研究---老年股骨颈骨折患者术前心理应激与短期预后的关系
- 搜索
-
- 1000℃李寰:先心病肺动脉高压能根治吗?
- 1000℃除了吃药,骨质疏松还能如何治疗?
- 1000℃抱孩子谁不会呢?保护脊柱的抱孩子姿势了解一下
- 1000℃妇科检查有哪些项目?
- 1000℃妇科检查前应做哪些准备?
- 1000℃女性莫名烦躁—不好惹的黄体期
- 1000℃会影响患者智力的癫痫病
- 1000℃治女性盆腔炎的费用是多少?
- 标签列表
-
- 星座 (702)
- 孩子 (526)
- 恋爱 (505)
- 婴儿车 (390)
- 宝宝 (328)
- 狮子座 (313)
- 金牛座 (313)
- 摩羯座 (302)
- 白羊座 (301)
- 天蝎座 (294)
- 巨蟹座 (289)
- 双子座 (289)
- 处女座 (285)
- 天秤座 (276)
- 双鱼座 (268)
- 婴儿 (265)
- 水瓶座 (260)
- 射手座 (239)
- 不完美妈妈 (173)
- 跳槽那些事儿 (168)
- baby (140)
- 女婴 (132)
- 生肖 (129)
- 女儿 (129)
- 民警 (127)
- 狮子 (105)
- NBA (101)
- 家长 (97)
- 怀孕 (95)
- 儿童 (93)
- 交警 (89)
- 孕妇 (77)
- 儿子 (75)
- Angelababy (74)
- 父母 (74)
- 幼儿园 (73)
- 医院 (69)
- 童车 (66)
- 女子 (60)
- 郑州 (58)