首页 > 医疗资讯/ 正文
妊娠糖尿病(GDM)是孕期首次发现的高血糖状态,全球约每七个新生儿中即有一例受影响。其主要风险因素包括孕前体重指数(BMI)较高、妊娠期体重过度增加、年龄较大、既往妊娠糖尿病史、家族糖尿病史及非欧洲血统等。GDM不仅增加孕期及新生儿不良结局风险,还提高母亲未来发生2型糖尿病及心血管疾病的可能性,同时也影响后代的肥胖和糖尿病风险,形成代际传递。 目前孕期推荐适量运动及健康饮食,但受孕前及孕期生活方式干预对GDM预防的效果尚无定论。多数干预研究起始于孕中期,可能错过孕前和孕早期这一关键干预窗口。间歇性禁食及高强度间歇训练(HIIT)作为新兴干预手段,已证实对非孕期代谢疾病患者有益,但孕期应用数据有限。

本研究在挪威一所大学附属医院开展,纳入167名具备至少一种GDM风险因素、计划怀孕的女性。参与者随机分为干预组和对照组,干预组实行每日不超过10小时的间歇性禁食(每周至少5天)及以个人活动智能(PAI)指标评估的高强度运动,目标为每周≥100 PAI积分。对照组接受常规护理。 主要终点为孕28周75克OGTT两小时血糖水平。次要终点包括孕期血糖相关指标、体重及体成分变化等。采用意向治疗原则进行数据分析。

图:研究流程图
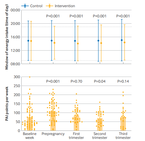
结果显示,在111名怀孕者中,干预组和对照组在孕28周OGTT两小时血糖水平无统计学显著差异(平均差0.48mmol/L,95%CI -0.05~1.01,P=0.08)。孕前期,约37%的干预组参与者符合预设干预依从标准,怀孕后依从率略有提升。平均每日饮食时间窗口为9.9小时,平均周PAI积分为111分,但孕期干预依从性逐渐下降。 尽管未显著改善血糖控制,干预组在孕28周体重增加减少2.0公斤,脂肪质量增加减少1.5公斤,均达统计学意义。此外,干预组体脂百分比及内脏脂肪面积呈下降趋势但未达显著。

图:在妊娠12周和28周时进行口服75克葡萄糖耐量试验后2小时的血糖水平

图:干预措施的依从性
综上,孕前及孕期结合间歇性禁食和运动训练的生活方式干预对高风险GDM患者孕晚期血糖耐量无显著改善,但有助于控制孕期体重及脂肪增加。孕前期为生活方式调整的关键窗口,需探索优化依从性的策略以实现更有效的GDM预防。
原始出处
Sujan MJ, Skarstad HM, Rosvold G, et al. Time restricted eating and exercise training before and during pregnancy for people with increased risk of gestational diabetes: single centre randomised controlled trial (BEFORE THE BEGINNING). BMJ. 2025;390:e083398. Published 2025 Sep 9. doi:10.1136/bmj-2024-083398
本文相关学术信息由梅斯医学提供,基于自主研发的人工智能学术机器人完成翻译后邀请临床医师进行再次校对。如有内容上的不准确请留言给我们。
- 搜索
-
- 1000℃李寰:先心病肺动脉高压能根治吗?
- 1000℃除了吃药,骨质疏松还能如何治疗?
- 1000℃抱孩子谁不会呢?保护脊柱的抱孩子姿势了解一下
- 1000℃妇科检查有哪些项目?
- 1000℃妇科检查前应做哪些准备?
- 1000℃女性莫名烦躁—不好惹的黄体期
- 1000℃会影响患者智力的癫痫病
- 1000℃治女性盆腔炎的费用是多少?
- 标签列表
-
- 星座 (702)
- 孩子 (526)
- 恋爱 (505)
- 婴儿车 (390)
- 宝宝 (328)
- 狮子座 (313)
- 金牛座 (313)
- 摩羯座 (302)
- 白羊座 (301)
- 天蝎座 (294)
- 巨蟹座 (289)
- 双子座 (289)
- 处女座 (285)
- 天秤座 (276)
- 双鱼座 (268)
- 婴儿 (265)
- 水瓶座 (260)
- 射手座 (239)
- 不完美妈妈 (173)
- 跳槽那些事儿 (168)
- baby (140)
- 女婴 (132)
- 生肖 (129)
- 女儿 (129)
- 民警 (127)
- 狮子 (105)
- NBA (101)
- 家长 (97)
- 怀孕 (95)
- 儿童 (93)
- 交警 (89)
- 孕妇 (77)
- 儿子 (75)
- Angelababy (74)
- 父母 (74)
- 幼儿园 (73)
- 医院 (69)
- 童车 (66)
- 女子 (60)
- 郑州 (58)