首页 > 医疗资讯/ 正文
随着年龄增长,人体代谢健康逐渐衰退,表现为胰岛素敏感性降低、腹部脂肪堆积等生理变化。饮食作为可干预的重要因素,对延缓代谢衰退具有关键作用。然而,男性和女性在营养代谢方面存在显著差异,这可能导致其对同一饮食模式的反应不同。目前,针对老年人群的性别特异性饮食研究仍较为缺乏。本研究基于"MASTERS"临床试验的基线数据,通过系统的膳食记录和代谢指标评估,探讨了老年男性和女性在饮食成分与胰岛素敏感性、体成分等代谢指标之间的关联差异。

本研究为一项二次分析,共纳入96名健康老年人(男性47人,女性49人),平均年龄约69岁。研究人员通过4天饮食记录收集详细的膳食信息,并使用营养数据系统(NDSR)分析能量、宏量营养素、植物化学物等201项饮食变量。代谢健康评估包括:使用Matsuda指数(Mat-ISI)评估胰岛素敏感性,通过稳态模型评估(HOMA-IR)衡量胰岛素抵抗,采用双能X线吸收仪(DXA)评估腹部脂肪比例,以及通过计算机断层扫描(CT)评估大腿肌间脂肪比例。统计分析方法包括单变量回归分析及可行解算法(FSA)建模,以识别与代谢健康最相关的食物组,同时控制BMI和运动量等混杂因素。
结果显示,参与者的基础特征存在显著性别差异。女性在基线时表现出更优的代谢状态:Mat-ISI更高(6.0 ± 3.3 vs. 4.0 ± 2.0)、空腹血糖更低(92.0 ± 12.3 vs. 99.4 ± 8.3 mg/dL)、HOMA-IR更低(1.6 ± 1.0 vs. 2.5 ± 1.5)。男性则在体重(85.3 ± 10.8 vs. 68.6 ± 9.9 kg)、BMI(27.3 ± 2.7 vs. 25.6 ± 3.4 kg/m²)及肌间脂肪比例(0.24 ± 0.17 vs. 0.12 ± 0.04)方面均显著高于女性。在饮食摄入方面,男性总能量摄入显著高于女性(1960 ± 471 vs. 1610 ± 421 kcal),但按体重标准化后无显著差异。女性摄入更多总膳食纤维(13.9 ± 3.6 vs. 11.2 ± 3.2 g/1000 kcal)及不溶性纤维(9.0 ± 2.4 vs. 6.8 ± 2.1 g/1000 kcal),其他营养素如蛋白质、脂肪、碳水化合物在性别间无显著差异。

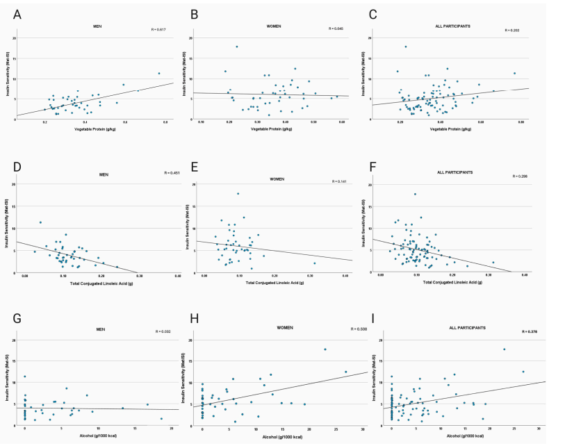
图:饮食因素与Mat-ISI的散点图
进一步分析发现,胰岛素敏感性与饮食因素的关联存在明显的性别特异性。在男性中,植物蛋白(p < 0.0001)、全谷物(p = 0.001)、肌醇(p = 0.002)、植酸(p = 0.002)与Mat-ISI呈正相关;而精制谷物(p = 0.003)和共轭亚油酸(CLA;p < 0.001)与Mat-ISI负相关。在女性中,酒精摄入(p < 0.001)和木糖醇(p = 0.007)与Mat-ISI正相关,而BMI与胰岛素敏感性负相关。通过食物组建模分析,在男性中,坚果与种子、全谷物的交互作用与更高的Mat-ISI相关(R² = 0.606);在女性中,酒精摄入是胰岛素敏感性的最强预测因子,但其与高盐调味品的交互作用削弱了这一积极关联。
在其他代谢指标方面也观察到性别差异。对于胰岛素抵抗(HOMA-IR),仅在男性中发现反式脂肪和固体脂肪与HOMA-IR正相关,植物蛋白与之负相关。在腹部脂肪分布方面,女性中总蛋白和钙与较低腹部脂肪比例相关;男性中植物蛋白、全谷物、植酸等与较低腹部脂肪相关,而CLA与较高腹部脂肪相关。对于肌间脂肪,仅在女性中发现大豆异黄酮(金雀异黄素和黄豆黄素)与较低肌间脂肪比例相关。
这些发现具有重要的生理和临床意义。在男性中,植物蛋白、全谷物及其富含的肌醇和植酸显著改善胰岛素敏感性和体成分,这些成分可能通过增强胰岛素信号通路(如肌醇参与PIP3合成)及抗炎机制发挥作用。此外,坚果与全谷物的协同效应提示整体饮食模式优于单一营养素的作用。在女性中,低剂量酒精摄入与较高胰岛素敏感性相关,可能与酒精来源(如红酒中的多酚)及伴随的饮食模式(如水果摄入)有关。然而,酒精与高盐调味品的负交互作用提示不健康饮食模式可能削弱其益处,这一发现需要谨慎解读,避免误导为饮酒建议。关于动物性脂肪的性别差异,CLA在男性中与较差的代谢结局相关,可能反映高脂动物性饮食的整体负面影响,而非CLA本身的作用。女性中未观察到类似关联,可能与摄入量较低或代谢通路差异有关。
本研究存在若干局限性。首先,作为横断面设计,无法推断因果关系;其次,样本量有限且人群相对同质(健康、高龄、高加索人种),限制了结果的普适性;此外,饮食数据依赖自我报告,可能存在回忆偏倚;最后,未评估β细胞功能等更全面的代谢指标。未来的研究应通过前瞻性设计、更大样本量以及更全面的代谢评估来验证这些发现。
综上所述,本研究揭示了老年男性和女性在饮食与代谢健康关联中的显著差异:男性受益于植物性饮食模式,而女性与低剂量酒精摄入相关。这些发现强调未来营养指南和临床干预需考虑性别特异性策略。后续研究应通过前瞻性设计和机制探索,验证这些关联并推动精准营养在老年健康中的应用,为制定个性化的老年营养干预方案提供科学依据。
原始出处
Anderson, K.R.; Kern, P.A.; Steele, A.L.; Lancaster, B.D.; Bee, M.; Zagzoog, A.M.; Slone, S.A.; Long, D.E.; Fry, J.L. Sex Differences in Associations Between Diet and Metabolic Health in Older Adults: The Roles of Vegetable Protein and Alcohol Intake. Nutrients 2025, 17, 3460. https://doi.org/10.3390/nu17213460
本文相关学术信息由梅斯医学提供,基于自主研发的人工智能学术机器人完成翻译后邀请临床医师进行再次校对。如有内容上的不准确请留言给我们。
猜你喜欢
- 夫妻性生活一周几次比较好? 夫妻性生活频繁会带来哪些危害?
- 有效的室内减肥运动有哪些 8种减肥运动帮你减出性感身材
- 最佳午睡时长出炉!Science:午睡半小时,大脑“重启”,进入最佳状态!小睡提升认知的原因终于找到了!
- Movement disorders:帕金森病,细菌丁酸盐与表观遗传学变化,或与抑郁症状有关
- Neurology:小儿卒中年龄影响远期认知预后,早期中风(29天-6岁)影响显著
- 红烧茭白的做法-咸鲜味烧菜谱
- 夏天吃冷饮过多有什么危害 哪些人不宜吃冷饮
- 两性健康知识:让感情升温的不是性爱姿势,而是生活的细节
- J Gastroenterol:炎症性肠病治疗新篇章——S1P调节剂与IL-23抑制剂
- 干燥天气多吃南瓜对身体好 南瓜怎么吃效果好
- 搜索
-
- 1000℃李寰:先心病肺动脉高压能根治吗?
- 1000℃除了吃药,骨质疏松还能如何治疗?
- 1000℃抱孩子谁不会呢?保护脊柱的抱孩子姿势了解一下
- 1000℃妇科检查有哪些项目?
- 1000℃妇科检查前应做哪些准备?
- 1000℃女性莫名烦躁—不好惹的黄体期
- 1000℃会影响患者智力的癫痫病
- 1000℃治女性盆腔炎的费用是多少?
- 标签列表
-
- 星座 (702)
- 孩子 (526)
- 恋爱 (505)
- 婴儿车 (390)
- 宝宝 (328)
- 狮子座 (313)
- 金牛座 (313)
- 摩羯座 (302)
- 白羊座 (301)
- 天蝎座 (294)
- 巨蟹座 (289)
- 双子座 (289)
- 处女座 (285)
- 天秤座 (276)
- 双鱼座 (268)
- 婴儿 (265)
- 水瓶座 (260)
- 射手座 (239)
- 不完美妈妈 (173)
- 跳槽那些事儿 (168)
- baby (140)
- 女婴 (132)
- 生肖 (129)
- 女儿 (129)
- 民警 (127)
- 狮子 (105)
- NBA (101)
- 家长 (97)
- 怀孕 (95)
- 儿童 (93)
- 交警 (89)
- 孕妇 (77)
- 儿子 (75)
- Angelababy (74)
- 父母 (74)
- 幼儿园 (73)
- 医院 (69)
- 童车 (66)
- 女子 (60)
- 郑州 (58)