首页 > 医疗资讯/ 正文
当我们谈论皮肤癌中最凶险的黑色素瘤时,一个长期存在的认知是:有色人种(尤其是黑人患者)预后更差,主要归因于诊断延迟和社会经济挑战。然而,近期一项发表在《美国皮肤病学会杂志》上的重磅研究,正在挑战这一固有观念。
这项由Sydney Grant等人主导的大规模研究,通过对美国SEER数据库中超过18万例皮肤黑色素瘤病例进行深入分析,得出了一个令人震惊的结论:对于肢端雀斑样黑色素瘤(ALM)这种特殊亚型,黑人患者面临的更高死亡风险,可能并非主要由诊断晚所致,其背后隐藏着更深层次的生物学或未知因素。

不一样的黑色素瘤:认识“肢端雀斑样黑色素瘤(ALM)”
要理解这项研究的意义,我们首先要认识这次研究的“主角”——肢端雀斑样黑色素瘤(ALM)。
与我们熟知的、与日晒高度相关的普通黑色素瘤不同,ALM偏爱“藏”在身体的隐秘角落:手掌、脚底和指甲下。它被认为可能与压力和摩擦损伤有关。更关键的是,它在不同种族中的“存在感”天差地别。
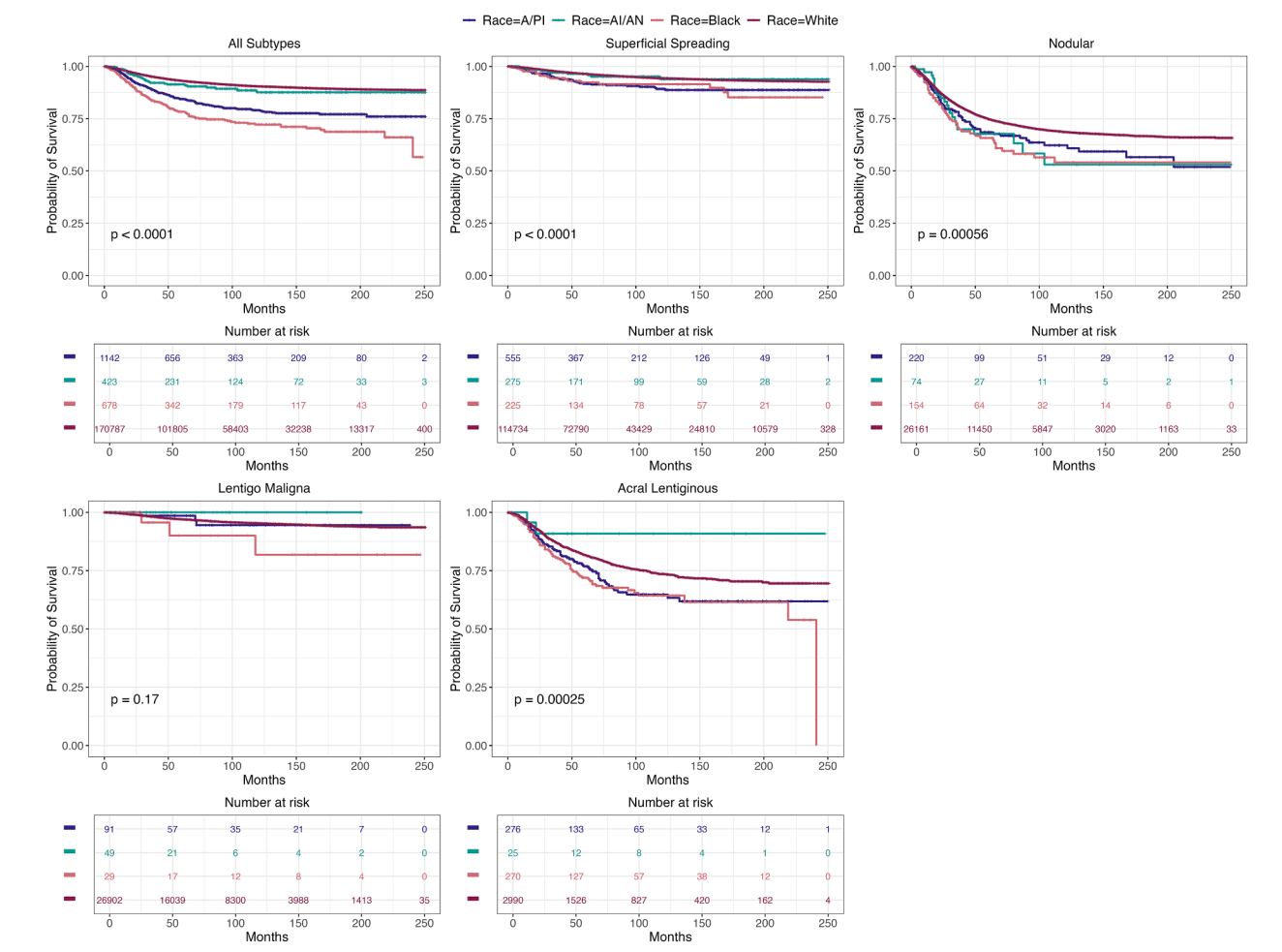
研究数据清晰地展示了这种分布差异:
-
在非西班牙裔白人中,ALM仅占所有黑色素瘤病例的1%。
-
而在黑人患者中,ALM的占比高达33.6%,是最主要的黑色素瘤亚型。
由于白人黑色素瘤总体发病率高,ALM在其中显得不突出;但对于黑色素瘤发病率较低的黑人群体,ALM反而成了他们最常遭遇的“宿敌”,且以其高致死率著称。

图:不同种族主要黑色素瘤亚型的黑色素瘤特异性生存概率
打破刻板印象:诊断分期竟无显著差异!
研究的第一个关键发现,就动摇了传统认知的基石。
研究人员比较了黑人与白人患者在确诊时的疾病严重程度(分期)。结果发现:
-
在所有黑色素瘤亚型合并分析时,以及浅表扩散性(SSM)和结节性(NM)这两个亚型中,黑人患者确诊时的分期确实更晚。这符合“诊断延迟”的假设。
-
然而,在ALM中,黑人与白人患者的确诊分期没有显著差异(P=0.1)。 这意味着,从整体上看,黑人ALM患者并没有比白人患者更晚被发现。
为了进一步验证,研究者还比较了另一个关键指标——Breslow深度(肿瘤浸润厚度,是预后的重要指标)。结果同样显示,在各个分期内,黑人ALM患者的肿瘤厚度与白人患者并无显著不同。

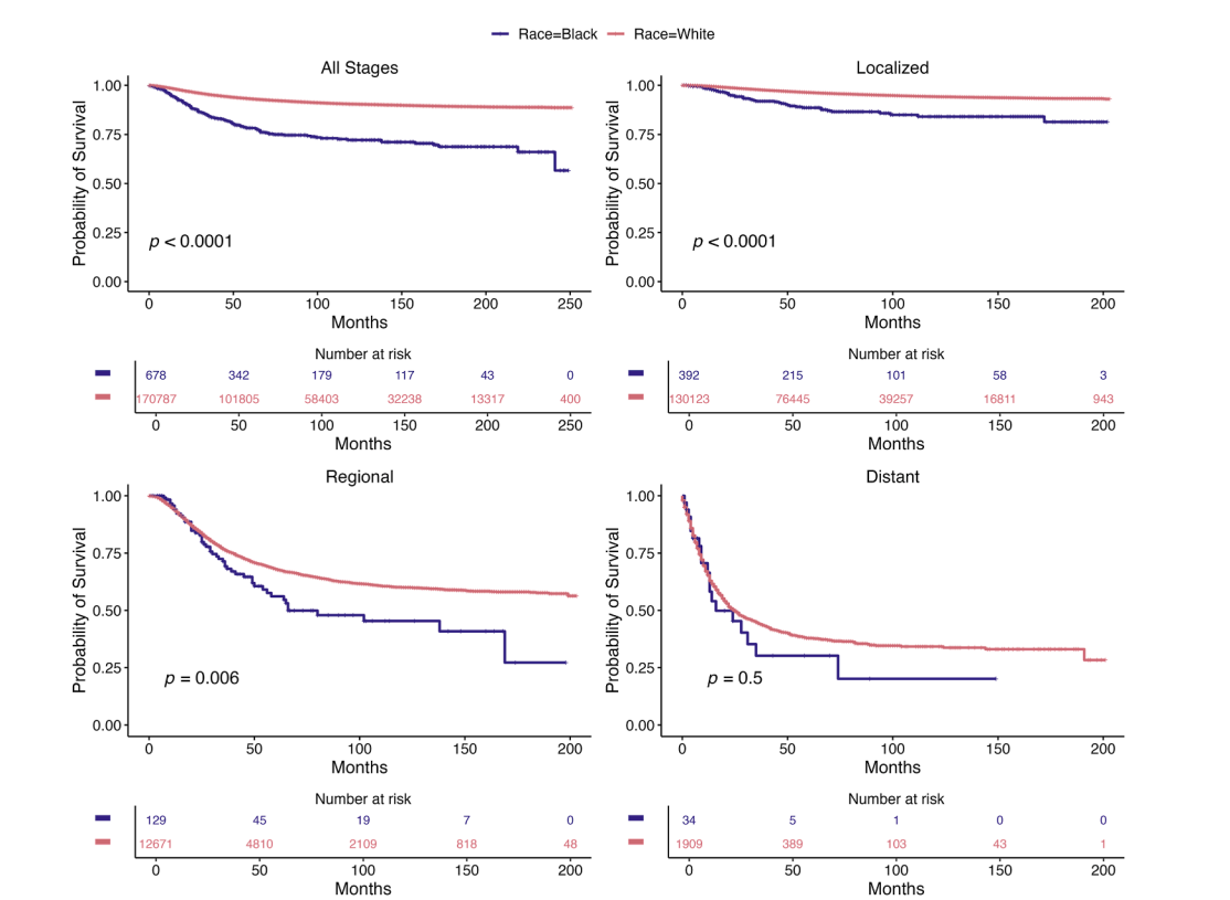
图:诊断时所有黑色素瘤亚型的黑色素瘤特异性生存概率
至此,研究发出了第一个强烈信号:将黑人ALM患者预后差简单归咎于“发现得太晚”,这个理由可能站不住脚了。
最核心的发现:独立于所有已知因素的高死亡风险
如果说上述发现是“破”,那么接下来的发现就是“立”。
研究人员运用多变量Cox比例风险模型,在排除了年龄、性别、肿瘤厚度、溃疡、分期、手术、收入水平、城乡差异等一系列临床病理和社会经济因素的干扰后,一个惊人的结果浮出水面:
在四种主要黑色素瘤亚型中,ALM是唯一一个黑人患者相比白人患者,依然面临显著更高死亡风险的亚型,其风险比高达2.04(95% CI: 1.31-3.11)。
通俗地说,即使两位ALM患者,一位是黑人,一位是白人,他们年龄相仿、肿瘤厚度相同、分期一样、收入水平接近、也都接受了手术,那位黑人患者的死亡风险仍然是白人患者的2倍以上。
这一发现在其他亚型中并未出现。研究还指出,黑人ALM患者在确诊后5年和10年的黑色素瘤特异性死亡率,分别比白人患者高出1.6倍和1.5倍。
探寻谜底:除了延迟诊断,还有什么在“作祟”?
当“诊断延迟”和“社会经济因素”这两个最常见的解释被数据排除后,什么才是导致这种巨大差异的真正原因?研究者在讨论中为我们指明了几个可能的探索方向:
-
潜在的生物学差异(遗传与分子):这是目前最受关注的领域。研究指出,在许多癌症(如前列腺癌、乳腺癌)中,已发现不同种族间存在独特的分子特征,这些特征可能影响肿瘤的侵袭性和治疗反应。然而,既往大规模的ALM基因测序研究中,黑人患者的代表性严重不足。有限的数据显示ALM本身具有高度的遗传异质性,或许在黑人患者体内,ALM存在着我们尚未知晓的、更具侵袭性的“基因密码”。
-
独特的肿瘤微环境与免疫应答:人体的免疫系统是抗击肿瘤的重要防线。不同种族个体在免疫系统的构成和反应上可能存在差异,这可能导致黑人患者的身体对ALM的“战斗力”有所不同,即所谓的“免疫逃逸”机制可能更占上风。
-
社会文化与医疗体系中的无形壁垒:
-
医学信任度:历史上遗留的医疗不公可能导致部分少数族裔对医疗系统信任度较低,这可能影响他们在诊断后的治疗依从性和定期随访的意愿。
-
医患种族一致性:研究提到,黑人皮肤科医生仅占全美皮肤科医生总数的3%,远低于其人口比例。有研究表明,医患种族一致性能提升患者满意度和参与度,这种一致性的缺失可能对治疗过程和结果产生微妙影响。
-
启示与展望:迈向更精准、更公平的医疗
这项研究的意义远不止于颠覆一个学术观点。它向临床医生、科研人员和公共卫生政策制定者发出了明确的呼吁:
-
对临床医生而言:在接诊黑人ALM患者时,需要意识到他们面临的风险可能远超常规评估。即使诊断时分期早、肿瘤不厚,也应给予更高程度的警惕和更密切的随访。
-
对科研界而言:亟需开展更多纳入足够多样本的转化医学研究,深入揭示ALM在黑人群体中的分子特征和驱动机制。我们迫切需要找到适用于所有种族的、更精准的预后预测工具和治疗方法。
-
对公共卫生而言:在继续加强公众教育、促进早期诊断的同时,也必须着手解决医疗体系内的结构性不平等,增加少数族裔医务工作者的比例,努力构建一个让所有人都能信任并受益的医疗环境。
结语
这项研究像一把钥匙,为我们打开了一扇重新审视疾病与种族关系的大门。它告诉我们,健康差距的背后,原因往往错综复杂。将问题简单化,无助于真正解决问题。面对黑人患者在肢端雀斑样黑色素瘤上承受的沉重负担,我们不能再仅仅满足于呼吁“早点来看病”,而必须怀着更谦卑、更审慎的态度,深入生物学和社会学的腹地,去探寻那些隐藏更深的真相,最终为实现真正公平、有效的精准医疗铺平道路。
原始出处
Dev A, Vinay K, Bishnoi A, Kumaran MS, Mehta H, Parsad D. Oral tofacitinib in comparison with dexamethasone oral mini-pulse therapy for the treatment of active nonsegmental vitiligo: A randomized controlled trial. J Am Acad Dermatol. 2025;93(4):937-945. doi:10.1016/j.jaad.2025.06.006
本文相关学术信息由梅斯医学提供,基于自主研发的人工智能学术机器人完成翻译后邀请临床医师进行再次校对。如有内容上的不准确请留言给我们。
- 搜索
-
- 1000℃李寰:先心病肺动脉高压能根治吗?
- 1000℃除了吃药,骨质疏松还能如何治疗?
- 1000℃抱孩子谁不会呢?保护脊柱的抱孩子姿势了解一下
- 1000℃妇科检查有哪些项目?
- 1000℃妇科检查前应做哪些准备?
- 1000℃女性莫名烦躁—不好惹的黄体期
- 1000℃会影响患者智力的癫痫病
- 1000℃治女性盆腔炎的费用是多少?
- 标签列表
-
- 星座 (702)
- 孩子 (526)
- 恋爱 (505)
- 婴儿车 (390)
- 宝宝 (328)
- 狮子座 (313)
- 金牛座 (313)
- 摩羯座 (302)
- 白羊座 (301)
- 天蝎座 (294)
- 巨蟹座 (289)
- 双子座 (289)
- 处女座 (285)
- 天秤座 (276)
- 双鱼座 (268)
- 婴儿 (265)
- 水瓶座 (260)
- 射手座 (239)
- 不完美妈妈 (173)
- 跳槽那些事儿 (168)
- baby (140)
- 女婴 (132)
- 生肖 (129)
- 女儿 (129)
- 民警 (127)
- 狮子 (105)
- NBA (101)
- 家长 (97)
- 怀孕 (95)
- 儿童 (93)
- 交警 (89)
- 孕妇 (77)
- 儿子 (75)
- Angelababy (74)
- 父母 (74)
- 幼儿园 (73)
- 医院 (69)
- 童车 (66)
- 女子 (60)
- 郑州 (58)