首页 > 医疗资讯/ 正文
肝硬化作为一种进行性肝病,其临床过程常以代偿期和失代偿期为分水岭,一旦进入失代偿阶段,患者出现腹水、肝性脑病或静脉曲张出血等并发症,预后将显著恶化,死亡风险急剧升高。长期以来,失代偿期肝硬化被视为不可逆转的终末阶段,患者往往需要肝移植或面临死亡。然而,近年来随着病因治疗手段的进步,例如酒精性肝病患者实现长期戒酒、丙型肝炎病毒感染者获得持续病毒学应答、乙型肝炎病毒感染者实现病毒抑制,越来越多的证据表明,部分失代偿期肝硬化患者可以实现临床状况的显著改善甚至逆转,这一现象被定义为“再代偿”。门静脉高压Baveno VII国际共识首次提出了再代偿的正式标准,包括彻底消除病因、停用特定药物后并发症消退超过12个月以及肝功能指标的稳定改善,但这一标准的实际发生率、预测因素及其对患者预后的确切影响尚缺乏大规模临床研究的验证,同时该标准要求完全停用利尿剂和乳果糖/利福昔明等药物,在临床实践中可能因医生停药习惯的主观性而受限,因此需要进一步评估和探索更具包容性的再代偿定义。

本研究采用回顾性队列设计,旨在系统评估Baveno VII再代偿标准在失代偿期肝硬化患者中的适用性,并开发及验证一套扩展的再代偿标准。研究连续纳入了2003年1月至2023年3月期间在意大利帕多瓦大学医院管理项目中就诊的肝硬化门诊患者,入选标准包括年龄超过18岁、经组织学或临床影像学确诊的肝硬化、病因为可治愈的酒精性肝病、丙型肝炎或乙型肝炎,并签署知情同意书。排除标准涵盖肝细胞癌或其他肝外恶性肿瘤、严重心衰、慢性阻塞性肺病、需要透析的慢性肾病以及肝移植后肝硬化复发等情况。最终共纳入691例患者,其中463例在入组时已处于失代偿期,另有62例代偿期患者在随访期间发生失代偿,使得可供再代偿评估的失代偿期患者总数达到525例。研究收集了患者的人口学、临床及实验室数据,定期进行腹部超声和上消化道内镜检查,失代偿事件如腹水、肝性脑病、静脉曲张出血等均被详细记录,酒精戒断通过尿乙基葡萄糖醛酸苷检测确认,病毒学治愈则通过HCV RNA或HBV DNA检测判定。
再代偿的定义严格遵循Baveno VII标准,即同时满足病因持续治愈、停用利尿剂和乳果糖/利福昔明后腹水与肝性脑病缓解且12个月内无静脉曲张出血复发、肝功能指标(白蛋白、胆红素、国际标准化比值)稳定改善并达到Child-Pugh A级。在此基础上,研究者提出了扩展再代偿标准,允许患者在继续接受低剂量利尿剂和/或乳果糖/利福昔明治疗的情况下,只要并发症消退超过12个月且肝功能稳定改善,即可视为再代偿,其中利尿剂剂量限定为抗醛固酮药物≤200毫克/天和/或呋塞米≤25毫克/天,且剂量在过去12个月内未增加。研究还通过酶联免疫吸附测定法检测了160例患者血清中的白细胞介素-6、白细胞介素-10和白细胞介素-1β水平,以评估系统性炎症状态,并利用一个来自博洛尼亚医院的193例患者队列进行外部验证。统计分析方面,连续变量以均值或中位数表示,分类变量以频数和百分比表示,组间比较采用t检验、Wilcoxon检验或卡方检验,再代偿预测因素通过Fine和Gray竞争风险模型分析,死亡风险则通过时间依赖性Cox比例风险模型评估,并调整了年龄、性别、终末期肝病模型评分、白蛋白、静脉曲张、进一步失代偿及治疗时代等混杂因素。

图1 研究纳入患者流程图
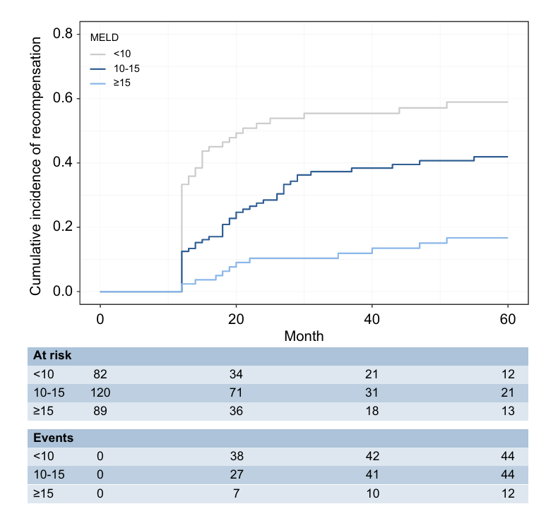
研究结果显示,在525例失代偿期肝硬化患者中,共有298例实现了病因治愈,其中仅21例符合Baveno VII再代偿标准,占比7.0%,累积再代偿发生率在3年、5年和10年时分别为7%、7.7%和8.5%。而采用扩展标准后,再代偿患者数量增至112例,占比37.6%,累积发生率在相应时间点分别达到34.1%、38.4%和44.8%。多变量分析揭示,较低的终末期肝病模型评分、较高的血红蛋白水平、较低的体重指数以及未发生进一步失代偿是再代偿的独立预测因素,具体而言,终末期肝病模型评分每增加1分,再代偿概率下降约11%至12%,血红蛋白每增加1克/分升,概率上升约14%,体重指数每增加1千克/平方米,概率下降约7%至8%,而经历进一步失代偿的患者再代偿概率降低约50%。当按终末期肝病模型评分分层时,评分低于10分的患者3年再代偿累积发生率高达55%,评分在10至15分之间者为37%,而评分超过15分者仅为12%,显示出终末期肝病模型评分对再代偿可能性的显著影响。
在生存分析方面,中位随访70.5个月期间,共有199例患者死亡,133例接受肝移植。多变量Cox模型显示,与代偿期肝硬化患者相比,符合Baveno VII标准或扩展标准的再代偿患者死亡风险并无显著差异,风险比分别为0.99和0.97,而失代偿期患者的死亡风险则高出4至6倍。特别值得注意的是,符合扩展标准的再代偿患者与符合Baveno VII标准者的死亡风险几乎完全相同,风险比为0.97。当代偿期患者根据是否存在临床显著门静脉高压进一步分层时,再代偿患者的死亡风险与伴临床显著门静脉高压的代偿期患者相似,但显著高于无临床显著门静脉高压的代偿期患者,这表明再代偿虽能极大改善预后,但可能无法完全逆转门静脉高压相关风险。此外,在实现扩展再代偿的患者中,约10.7%在随访期间出现新的失代偿事件,其发生率与病因治愈后的代偿期患者无显著差异,新发失代偿多与肝癌发生、酒精复饮或腹部手术等诱因相关。
研究还发现,再代偿状态与肝脏功能和血流动力学指标的显著改善密切相关,患者胆红素中位数从23微摩尔/升降至17微摩尔/升,国际标准化比值从1.26降至1.16,白蛋白从35克/升升至39克/升,终末期肝病模型评分从10分降至9分,平均动脉压从93毫米汞柱升至97毫米汞柱,心率从75次/分降至67次/分。在内镜随访的103例再代偿患者中,26%显示静脉曲张程度减轻或消失,仅13%出现静脉曲张进展。系统性炎症标志物检测结果进一步支持再代偿的生物学合理性,失代偿期患者血清白细胞介素-6、白细胞介素-10和白细胞介素-1β水平分别为21.9皮克/毫升、4.8皮克/毫升和2.1皮克/毫升,显著高于代偿期患者的4.1皮克/毫升、2.5皮克/毫升和0.9皮克/毫升,而再代偿患者这些细胞因子水平则降至4.0皮克/毫升、2.4皮克/毫升和1.1皮克/毫升,与代偿期患者无统计学差异,表明再代偿伴随系统性炎症状态的显著缓解。外部验证队列的结果与主队列高度一致,193例患者中44例符合扩展再代偿标准,其死亡风险与代偿期患者相当,而失代偿期患者死亡风险高出3倍,证实了扩展标准在不同人群中的稳健性。

图2 实现病因治愈的失代偿肝硬化患者中根据MELD分层的再代偿发生率
综上,本研究通过大样本队列数据证实,Baveno VII再代偿标准能够有效识别预后良好的肝硬化患者,其死亡风险与代偿期伴临床显著门静脉高压者相近,但由于标准严格且依赖主观性停药决策,实际再代偿率不足10%,极大限制了其临床适用性。扩展再代偿标准在保持预后判别准确性的前提下,将再代偿识别率提升至37.6%,为流行病学研究和临床试验提供了更可行的工具,同时鼓励临床医生在稳定患者中审慎评估停药必要性。
再代偿的实现与肝脏功能改善、门静脉高压相关血流动力学异常缓解、静脉曲张逆转以及系统性炎症下降等多重益处相关,标志着疾病阶段的真实逆转。然而,再代偿后仍存在失代偿风险,尤其是终末期肝病模型评分高于15分、血红蛋白偏低或体重指数较高的患者再代偿概率较低,此类患者应及时评估肝移植而非盲目等待再代偿。未来研究需进一步探索再代偿对门静脉压力的直接影响及非侵入性指标在再代偿评估中的作用,以优化患者管理策略。
原始出处:
Tonon M, Gagliardi R, Pompili E, Barone A, Zaccherini G, Zilio G, Baldassarre M, Accetta A, Carrello D, Calvino V, Iannone G, Incicco S, Zeni N, Gambino CG, Caraceni P, Angeli P, Piano S. Validation and expansion of Baveno VII recompensation criteria in patients with cirrhosis and curable liver disease. J Hepatol 2025;83:888-898.
本文相关学术信息由梅斯医学提供,基于自主研发的人工智能学术机器人完成翻译后邀请临床医师进行再次校对。如有内容上的不准确请留言给我们。
猜你喜欢
- 猴头菇的作用与功效
- 中南大学邓幼文教授团队Bioact. Mater.:微环境响应型金属酚网络释放平台用于椎间盘退变治疗
- PNAS:这个分子能够阻断和恢复帕金森氏症引起的神经变性
- “隔夜水”不能喝?其实不能喝的是这2种水
- Pediatr Res:按胎龄和原因划分的唐氏综合症儿童死亡情况
- 泉州少林路柑舍头康佰家药店店员推翻“小黄人”被曝光
- 川大聂宇/黄崇湘教授团队《Biomaterials》:钛植入体表面晶体学调控提升成骨和耐腐蚀性能
- Cell Host & Microbe:马迎飞/戴磊建立噬菌体培养组,解析肠道“暗物质”
- 孕妇什么时候会出现浮肿? 5妙招帮孕妇快速消除浮肿
- 人老为什么会“珠黄”?
- 搜索
-
- 1000℃李寰:先心病肺动脉高压能根治吗?
- 1000℃除了吃药,骨质疏松还能如何治疗?
- 1000℃抱孩子谁不会呢?保护脊柱的抱孩子姿势了解一下
- 1000℃妇科检查有哪些项目?
- 1000℃妇科检查前应做哪些准备?
- 1000℃女性莫名烦躁—不好惹的黄体期
- 1000℃会影响患者智力的癫痫病
- 1000℃治女性盆腔炎的费用是多少?
- 标签列表
-
- 星座 (702)
- 孩子 (526)
- 恋爱 (505)
- 婴儿车 (390)
- 宝宝 (328)
- 狮子座 (313)
- 金牛座 (313)
- 摩羯座 (302)
- 白羊座 (301)
- 天蝎座 (294)
- 巨蟹座 (289)
- 双子座 (289)
- 处女座 (285)
- 天秤座 (276)
- 双鱼座 (268)
- 婴儿 (265)
- 水瓶座 (260)
- 射手座 (239)
- 不完美妈妈 (173)
- 跳槽那些事儿 (168)
- baby (140)
- 女婴 (132)
- 生肖 (129)
- 女儿 (129)
- 民警 (127)
- 狮子 (105)
- NBA (101)
- 家长 (97)
- 怀孕 (95)
- 儿童 (93)
- 交警 (89)
- 孕妇 (77)
- 儿子 (75)
- Angelababy (74)
- 父母 (74)
- 幼儿园 (73)
- 医院 (69)
- 童车 (66)
- 女子 (60)
- 郑州 (58)