首页 > 医疗资讯/ 正文
儿童青少年血脂异常已成为全球公共卫生关注的重点问题,特别是低密度脂蛋白胆固醇(LDL-C)的升高被公认为动脉粥样硬化性心血管疾病(ASCVD)的重要危险因素。据统计,2021年高LDL-C是导致死亡的第七大风险因素,约导致365万人死亡。儿童及青少年期的高LDL-C不仅影响当前健康,更与成年后心血管疾病风险显著相关。
支链氨基酸(BCAAs)主要包括亮氨酸(leucine)、异亮氨酸(isoleucine)和缬氨酸(valine),主要来源于红肉等动物蛋白。BCAAs虽为人体生长发育必需,但其在代谢健康中的作用复杂。血浆中BCAAs浓度升高已被证明与肥胖、胰岛素抵抗及2型糖尿病密切相关,且与心血管疾病相关联。此外,BCAAs作为膳食补充剂有助于防止肌肉流失及促进肌肉合成,但过量摄入可能伴随脂质摄入增加,需合理把控摄入量。 目前,成人中已经观察到BCAAs与LDL-C的正相关关系,但儿童青少年膳食BCAAs与高LDL-C的关系尚不明确。

本研究基于中国国家儿童及哺乳期妇女营养健康监测项目,采用多阶段分层随机抽样方法,收集了来自山东、江苏、贵州和河北四省共1729名6至17岁儿童青少年的数据,涵盖47个监测点(包含城市及农村地区)。通过倾向性评分匹配(1:4比例,卡尺0.02)控制混杂因素。 膳食摄入信息通过经过验证的食物频率问卷收集,BCAAs摄入量依据《中国食物成分表》计算。排除异常能量摄入及极端BCAAs摄入值。收集生活方式信息包括二手烟暴露、饮酒及体育活动,使用标准化问卷。体格测量包括身高、体重、腰围及血压,采用标准仪器测量。血清LDL-C测定采用直接测定法,LDL-C ≥3.37 mmol/L定义为高LDL胆固醇症。

图:(a) 纳入与排除流程图;(b) 倾向评分匹配前后协变量平衡情况
统计学分析采用LightGBM机器学习算法评估BCAAs在预测高LDL胆固醇症中的重要性。条件逻辑回归分析探讨BCAAs摄入与高LDL-C风险之间关联,调整混杂变量后计算比值比(OR)及95%置信区间(CI)。采用限制性立方样条(RCS)和接收者工作特征曲线(ROC)分析剂量-反应关系及确定最佳摄入阈值。进一步运用中介孟德尔随机化(MR)分析探讨BCAAs经LDL-C介导对心血管疾病的因果影响。
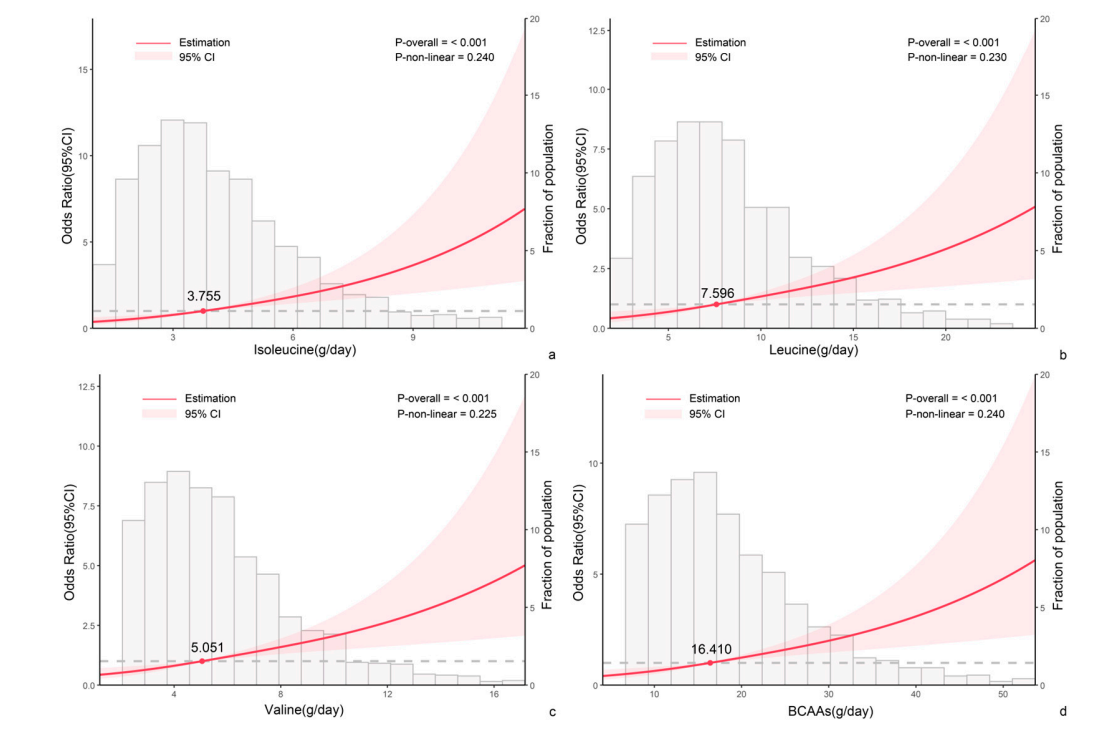
结果显示,研究中20.2%的儿童青少年被诊断为高LDL胆固醇症。高LDL-C组的异亮氨酸、亮氨酸及缬氨酸摄入量均显著高于正常组(分别高0.13、0.14及0.15个标准差)。条件逻辑回归显示,每增加1克/天的异亮氨酸、亮氨酸及缬氨酸摄入,患高LDL-C风险分别增加30%、11%及16%。最佳切割点分别为异亮氨酸5.53 g/天,亮氨酸6.40 g/天,缬氨酸4.18 g/天。
LightGBM模型分析表明,BCAAs,尤其是异亮氨酸,在预测高LDL胆固醇症中占据重要地位。交互作用分析显示,血压、二手烟暴露、饮酒及体育活动等因素未显著影响BCAAs与高LDL-C风险的关联。 RCS分析证实BCAAs摄入与高LDL-C风险呈线性正相关。ROC曲线分析确定了上述最佳摄入阈值。

图:基于LightGBM的机器学习模型的评估
人口归因分数(PAF)估计若将BCAAs摄入控制至推荐水平,儿童青少年高LDL胆固醇症的患病风险可降低17.78%至53.27%不等。 中介孟德尔随机化分析显示,BCAAs对心血管疾病的总效应为OR=1.06(95%CI: 1.02~1.11,P=0.005),其中约18%的效应通过LDL-C介导。此外,BCAAs还可能通过其他独立于LDL-C的途径直接影响心血管风险。

图:基于限制性立方样条法分析BCAA摄入量与高LDL胆固醇血症患病风险的剂量-反应关系
综上,本研究首次系统证实,膳食支链氨基酸摄入量与中国儿童青少年高LDL胆固醇症风险正相关,且LDL-C为介导心血管疾病的关键因素。合理控制BCAAs摄入,有望成为预防儿童青少年血脂异常和心血管疾病的重要干预策略。
原始出处
Zang, Z.; Zhang, S.; Liu, C.; Liu, Y.; Tian, M.; Luo, X.; Zhu, Q.; Liu, L.; Yu, L. Dietary Branched-Chain Amino Acids and Hyper-LDL-Cholesterolemia: A Case–Control Study Using Interpretable Machine-Learning Models in Chinese Children and Adolescents. Nutrients 2025, 17, 3280. https://doi.org/10.3390/nu17203280
本文相关学术信息由梅斯医学提供,基于自主研发的人工智能学术机器人完成翻译后邀请临床医师进行再次校对。如有内容上的不准确请留言给我们。
猜你喜欢
- 冬病夏治有注重!这几种群体并不宜
- 研究发现:这一中药提取物能抗癌,即使停药多年,药效也会持续存在
- 2022年度梅斯资讯阅读排行榜
- 新疆喀什提升食药安全监管已检验冷链食品逾2万批号
- 蔡建强教授谈肝脏“保卫战”:肝癌筛查与生活方式调整的双重攻略!
- 世界无烟日 吸烟有什么危害
- 【影像基础】气管憩室的影像诊断及鉴别诊断
- J Clin Oncol | 未达到主要终点-瑞拉可兰(Relacorilant) + Nab-紫杉醇联合治疗复发性铂类耐药卵巢癌患者:一项三臂、随机、对照、开放标签的 II 期研究
- 痛经诊断依据是什么?
- 2022 CDDI|高博携手两大论坛亮相CDDI,助力完善创新药早期临床研究策略
- 搜索
-
- 1000℃李寰:先心病肺动脉高压能根治吗?
- 1000℃除了吃药,骨质疏松还能如何治疗?
- 1000℃抱孩子谁不会呢?保护脊柱的抱孩子姿势了解一下
- 1000℃妇科检查有哪些项目?
- 1000℃妇科检查前应做哪些准备?
- 1000℃女性莫名烦躁—不好惹的黄体期
- 1000℃会影响患者智力的癫痫病
- 1000℃治女性盆腔炎的费用是多少?
- 标签列表
-
- 星座 (702)
- 孩子 (526)
- 恋爱 (505)
- 婴儿车 (390)
- 宝宝 (328)
- 狮子座 (313)
- 金牛座 (313)
- 摩羯座 (302)
- 白羊座 (301)
- 天蝎座 (294)
- 巨蟹座 (289)
- 双子座 (289)
- 处女座 (285)
- 天秤座 (276)
- 双鱼座 (268)
- 婴儿 (265)
- 水瓶座 (260)
- 射手座 (239)
- 不完美妈妈 (173)
- 跳槽那些事儿 (168)
- baby (140)
- 女婴 (132)
- 生肖 (129)
- 女儿 (129)
- 民警 (127)
- 狮子 (105)
- NBA (101)
- 家长 (97)
- 怀孕 (95)
- 儿童 (93)
- 交警 (89)
- 孕妇 (77)
- 儿子 (75)
- Angelababy (74)
- 父母 (74)
- 幼儿园 (73)
- 医院 (69)
- 童车 (66)
- 女子 (60)
- 郑州 (58)